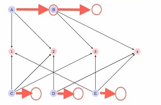
I have this figure with three rows of nodes. I would like to center the first and the third rows by moving the nodes a bit to the right so to make the figure appears more balanced:
I tried with \centering but with no effect.
Here's the code:
\documentclass{paper}
\usepackage{tikz}
\usetikzlibrary{arrows}
\begin{document}
\begin{figure}
\centering
\begin{tikzpicture}[->,>=stealth',shorten >=1pt,auto,node distance=4cm,
thick]
\tikzstyle{author node} = [circle,fill=blue!20,right]
\tikzstyle{thread node} = [circle,fill=red!20,right]
\node[author node] (1) {A};
\node[author node] (2) [right of=1] {B};
\node[thread node] (3) [below of=1] {1};
\node[thread node] (4) [right of=3] {2};
\node[thread node] (5) [right of=4] {3};
\node[thread node] (6) [right of=5] {4};
\node[author node] (7) [below of=3] {C};
\node[author node] (8) [right of=7] {D};
\node[author node] (9) [right of=8] {E};
\path[every node/.style={font=\sffamily\small}]
(1) edge node {} (3)
(1) edge node {} (4)
(2) edge node {} (5)
(2) edge node {} (6)
(7) edge node {} (3)
(7) edge node {} (4)
(7) edge node {} (4)
(7) edge node {} (5)
(8) edge node {} (4)
(8) edge node {} (6)
(8) edge node {} (6)
(9) edge node {} (3)
(9) edge node {} (5)
(9) edge node {} (6);
\end{tikzpicture}
\end{figure}
\end{document}

\tikzsetor\tikzstylebe used to define TikZ styles? and Difference betweenright of=andright=ofin PGF/TikZ. – Qrrbrbirlbel Sep 18 '13 at 14:16