I want to type the following equations by aligning them through the equal sign, but it seems to be too long:
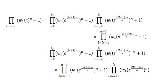
\begin{align*}\prod_{z^n=-1}(w_1(z)^n+1)
&=& \prod_{l=0}^{l_0}(w_1(e^{\frac{(2l+1)\pi i}{n}})^n+1)\prod_{l=l_0+1}^{l_1}(w_1(e^{\frac{(2l+1)\pi i}{n}})^n+1)\times\prod_{l=l_1+1}^{n-1}(w_1(e^{\frac{(2l+1)\pi i}{n}})^n+1)\\
&=& \prod_{l=0}^{l_0}(w_1(e^{\frac{(2l+1)\pi i}{n}})^n+1)\prod_{l=l_0+1}^{l_1}(w_1(e^{\frac{(2l+1)\pi i}{n}})^{-n}+1)\times\prod_{l=l_1+1}^{n-1}(w_1(e^{\frac{(2l+1)\pi i}{n}})^n+1)\prod_{l=l_0+1}^{l_1}(w_1(e^{\frac{(2l+1)\pi i}{n}})^n)
\end{align*}
Someone can help me? Thanks a lot!



alignunlikeeqnarrayshould just have&=not&=&– David Carlisle Aug 23 '13 at 16:04