I am using the commath package to typeset the derivative operator "D" with the command \Dif. This work well unless I want to add subscripts or superscripts. In this case, the spacing after operator is too small and the exponent / index "touches" the operator:

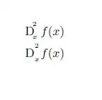
where the first operator is created via \Dif and the second one via \mathrm{D} (full MWE see below).
Is there some way to "redefine" the \Dif command in order to fix the spacing?
\documentclass{article}
\usepackage{commath}
\begin{document}
\begin{align*}
\Dif^2_x f(x) \\
\mathrm{D}^2_x f(x)
\end{align*}
\end{document}

{\Dif\,}^2_xwill do it, but that might be a nuisance, and not generally applicable. – Steven B. Segletes Jul 10 '13 at 12:02\Difwork as it currently does almost always, but to produce something like{\Dif\,}^2_xwhen sub/superscripts are used? – Abe Schulte Apr 14 '14 at 21:20commathis inherently wrong and should never be used. – egreg Apr 14 '14 at 21:47It seems there is quite a bit of disagreement regarding what exactly is "right" and therefore what is wrong. Unless you can cite a source, I really don't think you can say something is "inherently wrong", especially when an international organization entirely dedicated to stuff like this says otherwise (see the top answer of the linked post).
– Abe Schulte Apr 15 '14 at 01:58\renewcommand{\Dif}{\operatorname{D}}– Robert Fuster Apr 18 '14 at 11:19Dshould be upright or slanted, nor to any other typographic aspect; I'm saying that the definition of\Difgiven incommathis TeXnically wrong and the only way for making it work is to modify it. – egreg Apr 20 '14 at 10:11\DeclareMathOperator{\Dif}{D \!}is TeXnically wrong, and why\newcommand{\Dif}{\mathop{}\!D}is superior (or point me to a place that explains this)? – Abe Schulte Apr 21 '14 at 22:26