All of chemfig's bonds have optional arguments which accept the following input:
<bond symb>[<angle spec>,<length factor>,<dpt atom>,<arr atom>,<tikz spec>]
The third, <dpt atom>, and fourth ,<arr atom>, are the important ones here: they specify from which atom of a group of atoms the bond departs and at which atom of a group of atoms the bond arrives. This is described in section 5 of part II in the manual (Departure and arrival atoms). These arguments are integers that refer to the position of the respective atom in the group (counted from the left). If they're not specified chemfig determines the atom depending on the angle with which the bond departs or arrives. The specified atoms must exist otherwise an error is thrown. The following picture is taken from the documentation:

Applying this to your code we get:
\documentclass{article}
\usepackage{chemfig}
\begin{document}
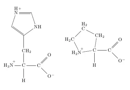
\chemfig{
C
([:0]-C(=[:30]O)(-[:-30]O^{-}))
([:180]-H_{3}N^{+})
([:-90]-H)
([:90]-CH_{2}([:90]-([:60]*5(-NH-[,,1]=NH^{+}-=))))% <= NH-[,,1] : depart from `N'
}
\chemfig{
C
([:0]-C(=[:30]O)(-[:-30]O^{-}))
([:-90]-H)
*5([:135]-CH_2-CH_2-H_2C-[,,,2]H_{2}N^{+}-)% <= C-[,,,2] : arrive at `N'
}
\end{document}

Further adjustments you could make to improve the looks of the molecules:
- in the rings use
\chemabove{<atom>}{<above>} and mathtools' \mathrlap{<stuff>} to get single atoms as far as the rings are concerned; the rings will look more even.
- use
O|^{-} in the carboxyl groups (notice the |); this will make sure that the additional height of the superscript is not taken into account when placing the O the the bond; there are other places in the molecules where this syntax can come in handy, too. See section 1 of part III, Separating atoms, in the manual for details on this.
Applying this to your examples this would be the result:

\documentclass{article}
\usepackage{chemfig}
\usepackage{mathtools}% provides \mathrlap
\begin{document}
\chemfig{
H_{3}\chemabove{N}{\quad\scriptstyle+}-
C
([:-90]-H)
([:90]
-CH_{2}-
([:90]*5(-NH-[,,1]=\chemabove{\chemabove{N}{H}}{\hskip1.5em\scriptstyle+}-=))
)
-C(=[:45]O)(-[:-45]O|^{-})
}
\qquad
\chemfig{
H-[2]
C
(-C(=[:45]O)(-[:-45]O|^{-}))
*5([:135]-C|H_2-\chemabove{C}{H\mathrlap{_2}}-H_2|C-[,,,2]H_{2}|\chemabove{N}{\quad\scriptstyle+}-)
}
\end{document}
+'s seem a bit mis-placed: theH+one is not in superscript and theN+ones seem to be too high. Do you think this can be easily improved? – yo' May 06 '13 at 09:20=\chemabove{\chemabove{N}{H}}{\hskip1.5em\scriptstyle+}-(theNH+in the ring) is easily replaced by={^+}|\chemabove{N}{H}-[,,2], i.e. placing the charge to the left which I actually like better. ForH_{3}\chemabove{N}{\quad\scriptstyle+}-I don't have an easier solution, maybeH_{3}N\mathrlap{\chemabove{\phantom{x}}{\scriptstyle+}}-– cgnieder May 06 '13 at 09:37