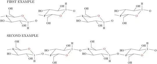
The problem I had to face yesterday was related to draw a cellulose molecule with chemfig. In particular I'm not familiar with tikz, so I had problems in aligning the monomers.
I was used to xymtec, but when I moved to debian wheezy I soon discovered that it is going to be obsolete. So here I am trying to re-learn things again.
Here a example on how I tried to solve the problem. It was a trial and error process. I'm sure there are a more elegant solutions.
It took me almost half a day to find this rough code, so I would like to know if it can be improved.
I'm writing this here, since this site was very helpful, so I would like to give something back.
\documentclass{minimal}
\usepackage{chemfig}
\definesubmol{glucoBeta}{
?(4-[:190,0.7])
-[:-50](-[:170]HO)
-[:10](-[:-55,0.7]OH)
-[:-10]1(-[6,0.7]H)(-[:10]O)
-[:130]{\color{red}{O}}
-[:190]?(-[:150,0.7]-[2,0.7]OH)
}
\begin{document}
FIRST EXAMPLE \\
\chemfig[][scale=0.85]{!{glucoBeta}}
\vflipnext
\chemfig[][scale=0.85]{!{glucoBeta}}
\chemfig[][scale=0.85]{!{glucoBeta}}
\vflipnext
\chemfig[][scale=0.85]{!{glucoBeta}}\\
\bigskip
SECOND EXAMPLE\\
\chemfig[][scale=0.85]{!{glucoBeta}}
\vflipnext
\chemfig[yshift=-7mm][scale=0.85]{!{glucoBeta}}
\chemfig[][scale=0.85]{!{glucoBeta}}
\vflipnext
\chemfig[yshift=-7mm][scale=0.85]{!{glucoBeta}}
\end{document}
Output

