Hidden Markov Models are used for modelling systems that are assumed to be Markov processes with hidden (i.e. unobserved) states.
A hidden Markov model is a three-tuple $\left\langle\vec{\pi},A,B\right\rangle$ with $\vec{\pi}$ a probability vector over the $n$ hidden states, $A$ an $n\times n$ transition matrix and $B$ an $n\times m$ emission matrix. $\pi_i$ describes the probability of the system being in hidden state $i$ at time step $0$, $a_{ij}$ describes the probability of the system being in hidden state $j$ at time $t+1$ given it was in hidden state $i$ at time $t$. $b_{ik}$ describes the probability of observing $k$ given the system is in hidden state $i$.
A Markov model thus describes a Markov process, but where the state of the system is "hidden" and only observations can be seen. Such process can be trained for several applications (speech recognition, part-of-speech tagging and computational biology). It can be trained using the popular Baum-Welch algorithm and the most probable sequence of hidden states can be calculated using the Viterbi algorithm.
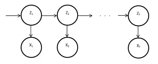
The standard HMM can be viewed graphically as follows:
Where $Z_t$ is the hidden state and $X_t$ is the observation at time $t$. We can use the conditional independence structure expressed by this graphical model to derive the algorithms above.
Extensions exist such that continuous output is supported as well.
