Can there be negative correlation but the regression line has a positive change when there is an increase in the independent variable?
1 Answers
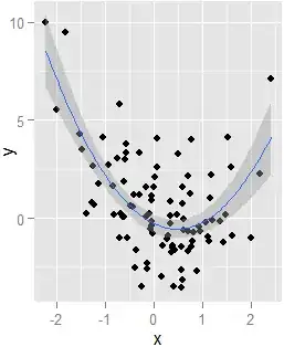
Yes. One simple case to consider is curvilinear regression, in which the response variable is modeled as a polynomial function of the predictor. I offer an example in r using $y_i=\beta_1x_i+\beta_2x_i^2+\varepsilon_i$.
First, some random data that fits the model: x=rnorm(99);y=x^2-x+2*rnorm(99);XY=data.frame(x,y)
Using set.seed(1), the correlation (cor(x,y)) $r_{x,y}=-.35$. Next, a curvilinear regression plot:
require(ggplot2);ggplot(XY,aes(x,y))+geom_point()+geom_smooth(method=lm,formula=y~x+I(x^2))

Finally, just to demonstrate that the model should curve like this, summary(lm(y~x+I(x^2),XY)):
Coefficients:
Estimate Std. Error t value Pr(>|t|)
(Intercept) -0.2772 0.2368 -1.171 0.245
x -1.1893 0.2163 -5.498 3.17e-07 ***
I(x^2) 1.2602 0.1697 7.427 4.55e-11 ***
---
Signif. codes: 0 '***' 0.001 '**' 0.01 '*' 0.05 '.' 0.1 ' ' 1
Residual standard error: 1.916 on 96 degrees of freedom
Multiple R-squared: 0.4446, Adjusted R-squared: 0.4331
F-statistic: 38.43 on 2 and 96 DF, p-value: 5.496e-13
For more statistics on how much better the polynomial model fits versus the simple linear model, use anova(lm(y~x,XY),lm(y~x+I(x^2),XY)):
Analysis of Variance Table
Model 1: y ~ x
Model 2: y ~ x + I(x^2)
Res.Df RSS Df Sum of Sq F Pr(>F)
1 97 554.83
2 96 352.38 1 202.45 55.153 4.552e-11 ***
---
Signif. codes: 0 '***' 0.001 '**' 0.01 '*' 0.05 '.' 0.1 ' ' 1
This example fits two conceivable interpretations of your question's premises:
- Beyond the global minimum at $x=.472$, predictions of $\hat y$ increase.
- The slope of the regression line changes positively as $x$ increases.
And of course, $x$ correlates negatively with $y$, as noted above.
- 12,342
- 5
- 52
- 110
-
I think correlation coefficients are useless for curvilinear relationships. – Chamberlain Mbah Apr 04 '14 at 09:33
-
Not entirely sure about "useless", but certainly misleading if one doesn't graph one's data and consider curvilinearity (among other pitfalls). Anscombe made this point in the second set of his quartet. – Nick Stauner Apr 04 '14 at 09:42