I am building a regression model of time series data in R, where my primary interest is the coefficients of the independent variables. The data exhibit strong seasonality with a trend.

The model looks good, with four of the six regressors significant:

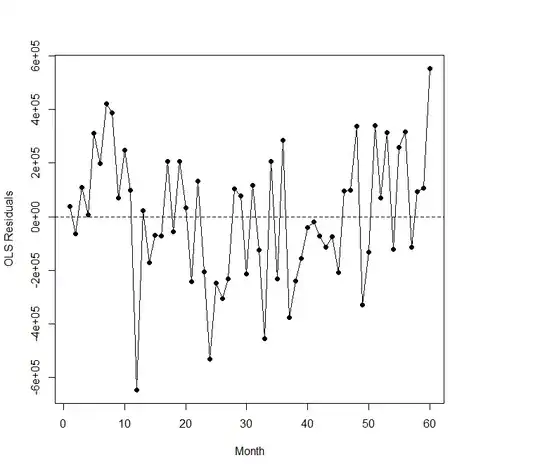
Here are the OLS residuals:

I used auto.arima to select the sARIMA structure, and it returns the model (0,1,1)(1,1,0)[12].
fit.ar <- auto.arima(at.ts, xreg = xreg1, stepwise=FALSE, approximation=FALSE)
summary(fit.ar)
Series: at.ts
ARIMA(0,1,1)(1,1,0)[12]
Coefficients:
ma1 sar1 v1 v2 v3 v4 v5
-0.7058 0.3974 0.0342 -0.0160 0.0349 -0.0042 -113.4196
s.e. 0.1298 0.2043 0.0239 0.0567 0.0555 0.0333 117.1205
sigma^2 estimated as 3.86e+10: log likelihood=-458.13
AIC=932.26 AICc=936.05 BIC=947.06
Training set error measures:
ME RMSE MAE MPE MAPE MASE
Training set 7906.896 147920.3 103060.4 0.1590107 3.048322 0.1150526
My question is this: based on the parameter estimates and s.e. of the regressors, I believe that none of them are significant - is this correct, and if so, what does it imply if my goal is to interpret the relative importance of these predictors as opposed to forecasting?
Any other advice relative to the process of building this model is welcome and appreciated.
Here are the ACF and PACF for the residuals:

> durbinWatsonTest(mod.ols, max.lag=12)
lag Autocorrelation D-W Statistic p-value
1 0.120522674 1.6705144 0.106
2 0.212723044 1.4816530 0.024
3 0.159828108 1.5814771 0.114
4 0.031083831 1.8352377 0.744
5 0.081081308 1.6787808 0.418
6 -0.024202465 1.8587561 0.954
7 -0.008399949 1.7720761 0.944
8 0.040751905 1.6022835 0.512
9 0.129788310 1.4214391 0.178
10 -0.015442379 1.6611922 0.822
11 0.004506292 1.6133994 0.770
12 0.376037337 0.7191359 0.000
Alternative hypothesis: rho[lag] != 0