0

I am trying to recover the formula of my regression model. I build the polynomial regression model using glmer(optionval ~ nt1 + nt2 + nt3 + section:(nt1+ nt2+ nt3)+(nt1-1|participant.id),...). "nts" are time based natural polynomials generated using poly(..., raw=TRUE) and "section" is a categorical factor consisting of 2 levels.

I got the model summary including estimates like below:

Fixed effects:
              Estimate Std. Error z value Pr(>|z|)    
(Intercept)   -0.04591    0.03217  -1.427    0.154    
nt1            2.96992    2.70780   1.097    0.273    
nt2           61.03648    1.78963  34.106  < 2e-16 ***
nt3          -29.26076    1.60500 -18.231  < 2e-16 ***
nt1:section1  -6.31923    2.67106  -2.366    0.018 *  
nt2:section1   7.57970    1.46541   5.172 2.31e-07 ***
nt3:section1 -10.13101    1.41280  -7.171 7.45e-13 ***

Form what I know, I think these estimates are the βs of the model formula, but I am n̶o̶t̶ ̶s̶u̶r̶e̶ now sure if value for "section" is associated with the coding defined by "contrast()"(in my case is (-1,1)). Anyway, based on my assumption, the formula I recovered (61.03x^2-29.26x^3+6.32x-7.58x^2+10.13x^3; 61.03x^2-29.26x^3-6.32x-7.58x^2-10.13x^3) is different from the one visualized by averaging model predictions from predict().

Stats pros on the platform please give me some ideas!

Update 1:

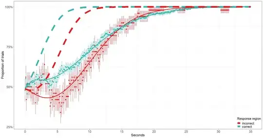
I managed to recover the formula for the model with no random effect using the procedure I described above (bold sentence; see Fig.1). However, when there is a random effect, the formula recovered directly using the summarized parameters does not produce a similar curve as the one produced by averaging individual predict() values (see Fig.2). enter image description here Fig.1 Fixed effect model. dashed lines are produced by recovered model formula. Solid lines are produced by averaging predict(). enter image description here Fig.2 Mixed effect model. dashed lines are produced by recovered model formula. Solid lines are produced by averaging predict().

I looked the coef(model) and found different nt1 for each sample, so I realized that the predict() values for each sample must be generated using individual coefficients instead of the united model coefficients. Furthermore, the averaged predict() curve even has 1 more inflection point (3 inflection points) than the model (3rd order so 2 inflection points) could possibly produce.

In this case, I doubt the possibility of recovering the formula for a mixed effect model.

Jinjin
  • 111
  • 1
    In R, try using poly(..., raw=TRUE) to generate the usual polynomial terms $X^2$, $X^3$, etc. By default, R's poly() uses the argument raw=FALSE which uses "orthogonal polynomials." These give equivalent predictions $hat Y$, and they can be a bit nicer for computational reasons, but also a bit harder to interpret directly. – civilstat Mar 13 '23 at 00:45
  • @civilstat Hi, I am clear about natural or orthogonal polynomials and I did use poly(..., raw=TRUE), so this is not really my confusion. How about the way to recover the formula? – Jinjin Mar 13 '23 at 01:16
  • @Jin What are the “nt” polynomials? Can you write down expressions like $x$ or $x^2$ (maybe more complicated than that)? // You seem to be changing some of the coefficient signs. Also, you seem to have missed the intercept, the “nt” term on its own, and the interaction between the categorical variable and your polynomial terms. It might be as simple as that. – Dave Mar 13 '23 at 05:18
  • @Dave Hi. Yeah, nt1 refer to x, nt2 - x², nt3 - x³. Sorry I just forget the signs (just edited). I thought Intercept is added by default and I leave it out because it is not significant. Other than those, do you suggest the rest of the formula is just right? – Jinjin Mar 13 '23 at 10:06
  • As I explain at https://stats.stackexchange.com/a/249202/919, you can always find the coefficients of polynomials or splines even when their methods are not documented. An example with splines is given at https://stats.stackexchange.com/a/101484/919. – whuber Mar 13 '23 at 15:35
  • @Jin I'm struggling to determine what your formula means, particularly the semicolon. – Dave Mar 13 '23 at 16:51
  • @Dave If you have a copy of R, the semicolon is documented at ?formula. – whuber Mar 14 '23 at 16:14
  • @whuber Thanks for the conmment. I'am struggling to read the link because I don't have much knowledge of the deep math. However, when there is no random effect, I did manage to recover the model formula with the coefficients and the intercept in the summary using the procedure I described. When there is a random effect, the formula I recovered does not produce a similar curve as the one produced by averaging individual fitted() values. – Jinjin Mar 15 '23 at 00:27
  • @Dave In R, : means interaction. In formula, section:(nt1+ nt2+ nt3) means section* nt1+section* nt2+section* nt3. – Jinjin Mar 15 '23 at 00:32

0 Answers0