I ran a manual gridsearch of SARIMA across several parameters and now I have 7875 rows of scores (RMSE, MAE, MAPE each) from it. These were the parameters (30k+ permutations) I ran a grid search over-
p = [0 to 10]
d = [0,1,2]
q = [0 to 12]
P = [0 to 5]
D = [0,1]
Q = [0,1,2]
S = [0,7]
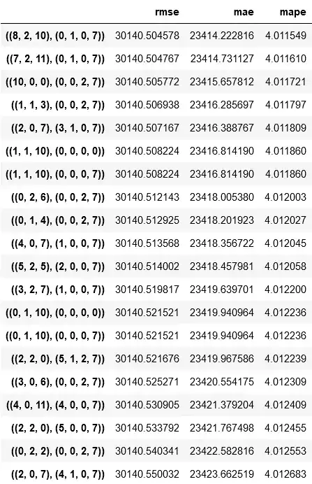
These are the top 20 rows of the results sorted by RMSE in ascending. Parameters are in the order ((p,d,q),(P,D,Q,S)). How should I go about selecting the best model from this? Should I do it based on the lowest RMSE or should I select a higher one in which the model parameters are not as high?
import pandas as pd
df = pd.read_csv('https://raw.githubusercontent.com/vyaduvanshi/helper-files/master/df_timeseries.csv')
train_df, test_df, val_df = df[:-60], df[-30:], df[-60:-30]
result_df = pd.read_csv('https://raw.githubusercontent.com/vyaduvanshi/helper-files/master/metrics_timeseries.csv')
result_df = result_df.rename(columns={'Unnamed: 0':'parameters'})
The model is fitted on train_df and predictions made on val_df

