Wikipedia claims it, and on reading the paper that it linked I found that the proof that was written there was quite difficult. Is there a simple proof possible for this identity?
-
Every step except the first is a straightforward calculation, so are you asking how to demonstrate the first equality? – whuber Mar 06 '21 at 17:13
-
1@whuber, I would really like a proof of the first equality. But you can also give me some alternative easier proof of this identity. – Martund Mar 06 '21 at 17:20
2 Answers
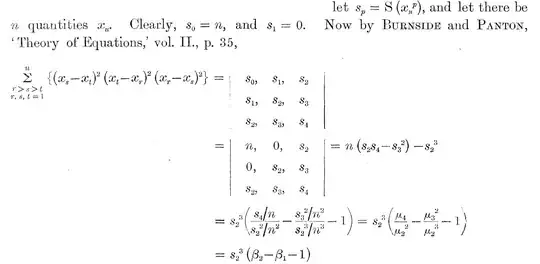
This demonstration uses the clever (yet elementary) method employed in Fisher's reference Burnside & Panton vol. II, section 142. It assumes a familiarity with the basics of determinants: their definition, computing them with row-reduction, and expanding them by minors. I also make liberal use of block-matrix notation to simplify the presentation.
(Lurking here is a more modern theorem about the norms of alternating multilinear forms, aka "antisymmetric tensors,* but I will avoid using this language.)
To help you see the progress of the argument, I have highlighted three equivalent statements of the inequality as they are obtained. Part of the interest in this solution lies in the incidental but elegant formula for that determinant shown in the question and labeled $(*)$ below. Otherwise we could take a more direct route to the conclusion by first centering the data (to make their sum $S_1=0$) and scaling them to unit variance (whence their sum of squares is $S_2=n$) and proceeding from the observation that the cross-product $\mathbb X \mathbb X^\prime$ must be positive-semidefinite directly to the inequality by evaluating its determinant. That is, after these preliminary normalization steps, we have
$$0 \le \left|\mathbb X \mathbb X^\prime\right| = \left| \matrix{n & 0 & n\\0 & n & n\beta \\ n & n\beta & n\kappa}\right| = n^3\left| \matrix{1 & 0 & 1\\0 & 1 & \beta \\ 1 & \beta & 1\kappa}\right| = \kappa - \beta^2 - 1.$$
Let a dataset be represented by a vector of its values $(x_1, x_2, \ldots, x_n).$ We are going to create a matrix of dimensions $(n+3)\times (n+3)$ out of four blocks based on the $3\times n$ matrix
$$\mathbb X = \pmatrix{1&1&\cdots & 1 \\ x_1 & x_2 & \cdots & x_n\\x_1^2 & x_2^2 & \cdots & x_n^2},$$
the $n\times n$ identity matrix $\mathbb{I}_n,$ and the $3\times 3$ zero matrix $\mathbb{O}_3;$ namely,
$$\mathbb A = \pmatrix{\mathbb{X} & \mathbb{O}_3 \\ -\mathbb{I}_n & \mathbb{X}^\prime}.$$
The kurtosis-skewness inequality will amount to (a) relating the determinant of $\mathbb A$ to the determinant of a $3\times 3$ matrix formed from sums of powers of the data and then (b) showing $\mathbb A$ has a non-negative determinant.
To achieve the first reduction, zero out the upper left $\mathbb X$ block using row operations (which leave the determinant unchanged). This amounts to left-multiplying $\mathbb{A}$ by the block matrix
$$\mathbb Q = \pmatrix{\mathbb{I}_3 & \mathbb X \\ \mathbb{O}_{n\times 3} & \mathbb{I}_n}$$
where $\mathbb{O}_{n\times 3}$ is the $n\times 3$ matrix of zeros. We obtain
$$\mathbb{Q}\mathbb{A} = \pmatrix{\mathbb{O}_{3\times n} & \mathbb{X}\mathbb{X}^\prime \\ -\mathbb{I}_n & \mathbb{X}^\prime}.$$
Similarly, the lower $\mathbb{X}^\prime$ block can be zeroed out by column operations--but these leave the upper right block untouched. The result is
$$|\mathbb A| = \left|\matrix{\mathbb O_{3\times n}&\mathbb X \mathbb X^\prime \\ -\mathbb{I}_n & \mathbb O_{n\times 3}}\right| = (-1)^{3n}\left|-\mathbb{I}_n\right| \left| \mathbb X \mathbb X^\prime\right| = \left| \mathbb X \mathbb X^\prime\right|.$$
Another way to find the determinant of $\mathbb A$ returns to its definition and employs Laplace's expansion in $3\times 3$ minors across the top row. A representative term in this expansion is the determinant of the principal $3\times 3$ minor times the determinant of its complement. That minor is
$$\mathbb{A}_{(1,2,3); (1,2,3)} = \pmatrix{1&1&1 \\ x_1 & x_2 & x_3 \\ x_1^2 & x_2^2 & x_3^2}$$ and its complement has the form
$$\mathbb{A}^0_{(1,2,3); (1,2,3)} = \pmatrix{\mathbb{O}_{3\times n} & \mathbb{A}_{(1,2,3); (1,2,3)}^\prime \\ -\mathbb{I}_{n-3} & *}$$
Both determinants evidently equal the determinant of that minor,
$$\left|\mathbb{A}_{(1,2,3); (1,2,3)} \right| = \left|\mathbb{A}^0_{(1,2,3); (1,2,3)}\right| = (x_3-x_2)(x_3-x_1)(x_2-x_1).$$
Thus the product of the determinants of this minor and its complement is the square of the value on the right hand side. The expansion has one such term for each (not structurally zero) minor,
$$\left| \mathbb A \right| = \sum_{n \ge k \gt j \gt i \ge 1} \left[(x_k-x_j)(x_k-x_i)(x_j-x_i)\right]^2.\tag{*}$$
("Not structurally zero" means that all minors involving any of the last three columns must be zero and so don't appear explicitly in this sum.)
This quantity, being a sum of squares, is non-negative, whence
$$0 \le \left| \mathbb A \right| = \left|\mathbb X\mathbb X^\prime\right|.$$
The rest is just mopping up but, to be complete, I will give the details.
For any $k=0, 1, 2, \ldots, $ writing
$$S_k = \sum_{i=1}^n x_i^k$$
for the sum of $k^\text{th}$ powers of the data enables us to represent the cross-product of $\mathbb X$ in the simple form
$$\mathbb X \mathbb X^\prime = \pmatrix{S_0 & S_1 & S_2 \\ S_1 & S_2 & S_3 \\ S_2 & S_3 & S_4}.$$
This simplifies, because $(*)$ shows it is a function only of the differences among the data, quantities that do not change when a constant is added to all the data values. Add the negative of their mean to each term (that is, center the data) to make $S_1=0.$ Obviously $S_0=n,$ giving
$$ 0 \le \left|\matrix{n & 0 & S_2 \\ 0 & S_2 & S_3 \\ S_2 & S_3 & S_4}\right| = n\left|\matrix{S_2 & S_3 \\ S_3 & S_4}\right| - S_2\left|\matrix{0 & S_2 \\ S_2 & S_3}\right| = n(S_2S_4 - S_3^2) - S_2^3.$$
The kurtosis $\kappa = (S_4/n)/(S_2/n)^2$ and skewness $\beta = (S_3/n)/(S_2/n)^{3/2}$ are defined only when the variance is nonzero, which implies $S_2$ is nonzero. We may therefore divide both sides of this inequality by the positive quantity $n^3S_2^3$ to give
$$0 \le \frac{n(S_2S_4 - S_3^2) - S_2^3}{n^3 S_2^3} = \kappa - \beta^2 - 1$$
to conclude
$$\kappa \ge \beta^2 + 1.$$
Finally, since the kurtosis and skewness of any distribution can be approximated arbitrarily well by a finite discrete distribution (at least when both are defined and finite), this equality must hold for all distributions for which the kurtosis and skewness are defined and finite, QED.
- 322,774
-
Great answer ($+1$), but as I said in my question, it's a bit difficult (I mean, compare it with the proof of $\kappa\ge \beta^2$). So I'll wait a little for some other easy approach to prove it, otherwise mark it accepted. – Martund Mar 09 '21 at 05:29
-
The reason I began with a short summary of this analysis was to demonstrate it's not that difficult: the crux of the matter is to form the matrix $\mathbb X$ and then it's straightforward, from the observation that $\mathbb{XX}^\prime$ is positive definite, to derive the result with a direct calculation of its determinant. This is amazingly simple and short for such a relatively complicated inequality. It generalizes, too: for instance, by using only the first two rows of $\mathbb X$ you immediately obtain a useful formula for covariance. – whuber Mar 09 '21 at 15:01
-
2That one is a really really great answer. I've upvoted that answer and accepted this one, just for the beauty of your answer in that other post. – Martund Mar 09 '21 at 15:14
-
@whuber Shouldn't the last part of the first equation be $n^3 (\kappa - \beta^2 - 1)$ instead of $\kappa - \beta^2 - 1$, and shouldn't the second part of the third-to-last equation be $n \det (\cdot) + S_2 \det (\cdot)$ instead of $n \det (\cdot) - S_2 \det (\cdot)$? The negative sign on the last term in the next part of the equation should be coming from the determinant, not the alternating minus sign. – Eric Perkerson Mar 22 '21 at 19:29
-
1And what "more modern" theorem are you referring to about alternating multilinear forms? – Eric Perkerson Mar 22 '21 at 19:32
-
@Erik Interpret the rows of any $m\times n$ matrix as representing linear forms and take their wedge product: that generalizes the determinant. A Euclidean metric on the (vector) space of those forms induces a Euclidean metric on the degree-$m$ alternating forms $\Lambda^m_n$ and also creates a duality between $\Lambda^m_n$ and $\Lambda^{n-m}_n.$ I believe (but haven't worked it through) that $|\mathbb A|=|\mathbb{XX}^\prime|$ is one consequence of that duality. – whuber Mar 22 '21 at 20:06
Consider the quadratic form
\begin{align} Q(a, ~b,~c) & := \frac1n\sum \left(a + xb+ x^2 c\right)^2 \\ &= a^2\cdot v_0 + b^2\cdot v_2 + c^2\cdot v_4+ 2ab\cdot v_1+ 2bc\cdot v_3+ 2ca\cdot v_2,\tag 1\label 1\end{align}
that is, $v_i:= \frac{\sum x^i}n,~i\in \{0,~1,~2,~3,~4\}.$
$\eqref{1}$ is positive semi-definite.
Then the determinant of the matrix of the quadratic form $\eqref{1}$
$$\begin{vmatrix}v_0 & v_1 & v_2\\ v_1 & v_2 & v_3\\ v_2 & v_3 & v_4\end{vmatrix},\tag 2\label 2$$ would be non-negative.
Now, take $v_1 = 0,~ v_2 = 1.$ Then $\eqref{2}$ reduces to
$$\begin{vmatrix}1 & 0& 1\\ 0 & 1& \gamma_3\\ 1 & \gamma_3 & \gamma_4\end{vmatrix}\geq 0.\tag 3\label 3$$
The rest follows by expanding $\eqref{3}.$
Reference:
$\rm [I]$ A Note on Skewness and Kurtosis, J. Ernest Wilkins, Jr., Ann. Math. Stat. $15 ~(1944),$ p. $334.$
- 8,202
-
-
-
Yes, but what are you summing over in $\frac1n\sum \left(a + xb+ x^2 c\right)^2 $? – utobi Oct 11 '22 at 11:56
-
@utobi summing $x.$ I omitted the usage of index as it was implicit, even as in Wilkins' notations. – User1865345 Oct 11 '22 at 12:22
-
