I have been reading a lot on Cross Validated for a while now, but this is my first post here. Thanks for all the help I've received!
I am currently working on a project where we are trying to estimate the effects of a drug on overall and disease-specific mortality. This is a prospective observational study, where patients are enrolled when they have a blood test, which happens at different time points. Patients are then followed until death, emigration, or the end of the study. To figure out if the drug impacts mortality, we have set up a Cox regression model where drug exposure is allowed to accumulate over time with the cumtdc function specified here.
The problem is that the proportional hazards assumption is severely violated - with p-values approaching 0 for most of the covariates. I am a beginner to this type of analysis and what I have read and tried so far is:
- Splitting continuous variables (such as age) into categories, which did not make a difference.
- Could interaction variables be helpful here - if so, how do I best implement them?
- Would this analysis be better suited to be performed with an accelerated failure time model?
- Is it possible that the analysis could be valid despite the non-proportional hazards? I am asking this since, intuitively, there are many individuals in the study (> 300 000) and many events (> 30 000), so even minimal violations might be registered as significant.
I am attaching the Schoenfeld plots with the respective p-values for the covariables.

I would be most appreciative of any suggestions to this problem. There seem to be many different approaches out there, making it a bit tricky to navigate for a beginner. Thank you!
ADDITON TO ORGINAL QUESTION
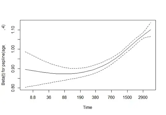
These are the log hazards for the variables age and X. I have now attempted both restricted cubic splines and categorization without meaningful changes to the Schoenfeld residuals.
ADDITION 2 TO ORIGINAL QUESTION
The output from cox.zph:
The requested plots from cox.zph for A and age:




survival::cox.zphand the residual plots without the points, which may distort the scale. You may also want to further check your accelerated failure time idea to see if residuals from e.g. a log-normal survival model are better behaved (noting that your Cox residuals may already be well behaved enough). See my case study in parametric survival modeling for an example, here - in the course notes. – Frank Harrell Dec 09 '20 at 12:10cox.zphhas a new option to do that easiily. – Frank Harrell Dec 13 '20 at 14:45ageonly goes from 0.9 to 1.1 over the entire time span. Yes, that trend is statistically significant with your very large number of events, but is it practically significant? Similarly, the coefficient forAonly goes from -0.05 to +0.05, which is pretty small in magnitude (in either direction) for a binary predictor. Splitting into different periods of time after study entry is a valid approach. The question is: do these differences over time really matter, based on the goals of your study? Also, have you tried AFT modeling? – EdM Dec 13 '20 at 15:55