The response variable is FreeKick (the duaration for completing a freekick in football match,unit is second,double), and explanatory variables is Timing (the timing for the freekick tooking place,Continuous variable,unit is second,double), xZone(the zone for the freekick tooking place, factor,6 level),gameState(the goal difference for one team in football match, 5 level). First, we conduct a linear model.
MFK1<-lm(FreeKick ~ Timing*fxZone*gameState, data=freekick)
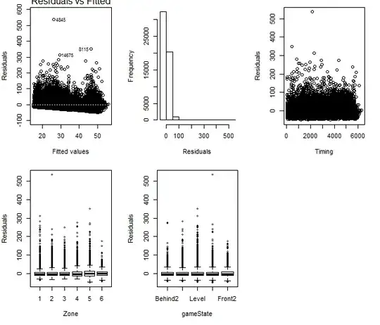
Obviously, this model is not good, cause its residuals violates the normality assumptions and with too many outliers. My question is can i transfer to quasi-poisson GLM? For the histogram of FreeKick is similary with some kind of poisson distribution. I am not sure that if poisson base GLM fits for the non-count data(FreeKick).Can i anlysis the interaction effect in GLM as below? I am newer to it.Thanks for your suggestion.
MFKglm<- glm(FreeKick ~ Timing*fxZone*gameState,family=quasipoisson, data=freekick)
