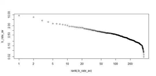
Most of my data seems nicely to fit a power law but with a "drooping tail", which I believe is quite common, although in this case the drop-off is quite steep.

I have two related questions if I may combine them in this post:
- How to locate this inflection precisely and justifiably (mathematically) in the data?
- Is it possible to justify separate statistical treatment of each side of the inflection, e.g. power law for the top and what else for the bottom? Since this kind of drop-off seems common, is there a common explanation for them which might justify separate treatment? NB: This is a distribution of firm birthrates across cities. The associated literature mentions that it is common just to cut off the drooping tail when fitting a power law, but it seems unrigorous to do so.