If $X \sim \mathsf{Pois}(\lambda).$ then $E(X) = \lambda$ and $SD(X) = \sqrt{\lambda}.$ For sufficiently large $\lambda,$ the random variable $X$ is approximately normally distributed. Then one says that $Z = \frac{X -\lambda}{\sqrt{\lambda}}$ is
approximately standard normal, so that
$$P\left(-1.96 < \frac{X -\lambda}{\sqrt{\lambda}} < 1.96\right) \approx 0.95.$$
This gives rise to $P(X - 1.96\sqrt{\lambda} < \lambda < X + 1.96\sqrt{\lambda})\approx0.95.$
Again, for sufficiently large $\lambda,$ one says that $1.96\sqrt{\lambda} \approx 1.96\sqrt{X}.$ So finally, an approximate 95% confidence interval
for $\lambda$ is of the form $$(X - 1.96\sqrt{X},\;X + 1.96\sqrt{X}).$$
This type of interval was proposed by Wald as asymptotically accurate for
$\lambda \rightarrow \infty.$ It works reasonably well for $\lambda > 50.$
For smaller $\lambda,$ a confidence interval with somewhat closer to 95% coverage is $$(X+2 - 1.96\sqrt{X+1},\; X+2 + 1.96\sqrt{X+1}).$$
Rationale: This adjusted 95% interval for smaller $\lambda$ is based on 'inverting' a
standard test for $H_0: \lambda = \lambda_0$ vs. $H_a: \lambda \ne \lambda_0,$ with test
statistic $Z = \frac{X - \lambda_0}{\sqrt{\lambda_0}},$ which rejects
at the 5% level for $|Z| \ge 1.96.$
Specifically for given $X,$ the adjusted interval
is found by solving a quadratic inequality for values $\lambda_0$
with $|Z| < 1.96$ and conflating $1.96$ with $2$ to obtain the terms with $X + 2$ and $X+ 1.$ In effect, the adjusted CI consists of non-rejectable hypothetical values of $\lambda_0.$ (One still assumes that $Z$ is approximately standard normal, but the additional assumption
that $1.96\sqrt{\lambda} \approx 1.96\sqrt{X}$ is no longer required.)
For both styles of CIs, an approximate 90% confidence interval is shorter, using $\pm 1.645$ instead of $\pm 1.96.$
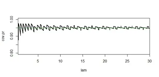
Because a Poisson distribution is discrete, actual coverage probabilities can vary by a surprising amount with a small change in the value of $\lambda.$ Here is a graph that shows actual coverage probabilities of the second (small $\lambda)$ type of "95%" confidence interval given above, for many values of $\lambda$ between $0.5$ and $30.$ For $\lambda > 5,$ coverage probabilities are not far from 95%.

The figure was made using the following R code:
lam = seq(.5, 30, by=.0001); m = length(lam) # values of lambda
t = 0:200 # realistic values of T
LL = t+2 - 1.96*sqrt(t+1); UL = t+2 + 1.96*sqrt(t+1) # corresp. CIs
cov.pr = numeric(m)
for(i in 1:m) {
lam.i = lam[i] # pick a lambda
cov = (lam.i >= LL & lam.i <= UL) # TRUE if CI covers
cov.pr[i] = sum(dpois(t[cov], lam.i)) } # sum probs for covering T's
plot(lam, cov.pr, type="l", ylim=c(.8,1), lwd=2, xaxs="i")
abline(h=.95, col="green3")
Addendum: By contrast, making obvious minor changes in the program above, we have the following graph showing the true coverage probabilities of a "95%" Wald confidence interval for $\lambda.$
