I am currently working on this problem and the goal is to develop a linear regression model to predict my Y(blood pressure) with 8 predictors, using Ridge & Lasso regression. I begin by examining the importance of each predictors. Below is a $summary()$ of my Multiple Linear Regression with $age100$ as rescaled $age$ to be on a similar scale to other predictors.
Call:
lm(formula = sys ~ age100 + sex + can + crn + inf + cpr + typ +
fra)
Residuals:
Min 1Q Median 3Q Max
-80.120 -17.019 -0.648 18.158 117.420
Coefficients:
Estimate Std. Error t value Pr(>|t|)
(Intercept) 145.605 9.460 15.392 < 2e-16 ***
age100 -1.292 12.510 -0.103 0.91788
sex 5.078 4.756 1.068 0.28701
can -1.186 8.181 -0.145 0.88486
crn 14.545 7.971 1.825 0.06960 .
inf -13.660 4.745 -2.879 0.00444 **
cpr -12.218 9.491 -1.287 0.19954
typ -11.457 5.880 -1.948 0.05283 .
fra -10.958 9.006 -1.217 0.22518
---
Signif. codes: 0 ‘***’ 0.001 ‘**’ 0.01 ‘*’ 0.05 ‘.’ 0.1 ‘ ’ 1
Residual standard error: 31.77 on 191 degrees of freedom
Multiple R-squared: 0.1078, Adjusted R-squared: 0.07046
F-statistic: 2.886 on 8 and 191 DF, p-value: 0.004681
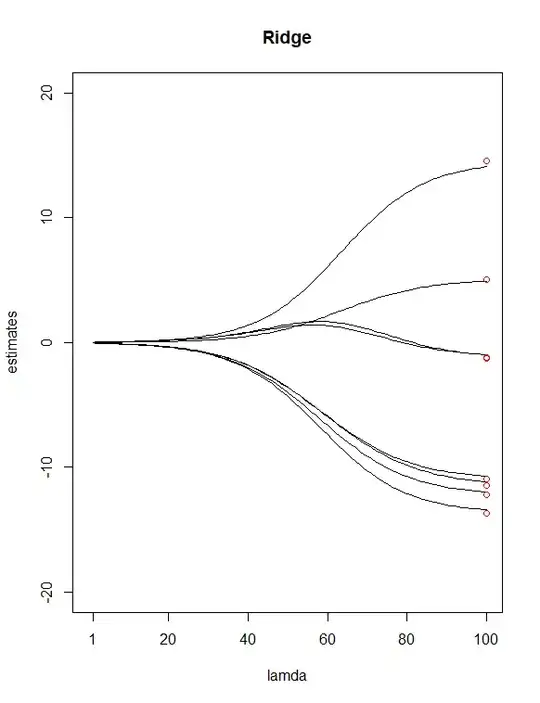
Simply by looking at P-values from the $summary()$ table, I have picked $age100$ and $can$ as potential 'less important' predictors. I then used $glmnet()$ to fit a ridge regression and lasso regression of Y with all my X's, allow the function to choose a $\lambda$ value for me. I then plotted the two regressions, with 100 $\lambda$ values for ridge and 65 $\lambda$ values for lasso. Finally, add points lying above index 100 and 65 drawn at vertical values equal to the 8 least squares estimates of the coefficients(in red).
Resulting in the above two plots, some differences that I spotted were
It seems reasonable to me that Lasso eliminated two variables($age100$ and $can$) which it appears to agree with my previous assumption of having these two predictors as 'less important' ones. Notice in the ridge plot, the first and roughly third estimates points are off from the line. However in the lass plot, points are right on those lines. Does this indicate improvement of my predictor reduction from ridge to lasso? (A.K.A, 6 predictors model does a better job in fitting the data than 8 predictors model?)
I also have few more questions:
Are the ridge regression estimates at the smallest λ value exactly the same as the least squares estimates?
How to interpret these two plots? (what does it mean for the ending points in red on the line or above or below).

