9

I met a paradoxical behavior of so-called "exact tests" or "permutation tests", the prototype of which is Fisher test. Here it is.

Imagine you have two groups of 400 individuals (e.g. 400 control vs 400 cases), and a covariate with two modalities (e.g. exposed / unexposed). There are only 5 exposed individuals, all in the second group. Fisher test goes like this:

> x <- matrix( c(400, 395, 0, 5) , ncol = 2)
> x
     [,1] [,2]
[1,]  400    0
[2,]  395    5
> fisher.test(x)

    Fisher's Exact Test for Count Data

data:  x
p-value = 0.06172
(...)

But now, there's some heterogeneity in the second group (the cases), e.g. the form of the disease or the recruiting center. It can be split in 4 groups of 100 individuals. Something like this is likely to happen:

> x <- matrix( c(400, 99, 99 , 99, 98, 0, 1, 1, 1, 2) , ncol = 2)
> x
     [,1] [,2]
[1,]  400    0
[2,]   99    1
[3,]   99    1
[4,]   99    1
[5,]   98    2
> fisher.test(x)

    Fisher's Exact Test for Count Data

data:  x 
p-value = 0.03319
alternative hypothesis: two.sided
(...)

Now, we have $p < 0.05$...

This only an example. But we can simulate the power of the two analysis strategies, assuming that in the first 400 individuals, the frequency of exposure is 0, and that it is 0.0125 in the 400 remaining individuals.

We can estimate the power of the analysis with two groups of 400 individuals :

> p1 <- replicate(1000, { n <- rbinom(1, 400, 0.0125); 
                          x <- matrix( c(400, 400 - n, 0, n), ncol = 2); 
                          fisher.test(x)$p.value} )
> mean(p1 < 0.05)
[1] 0.372

And with one group of 400 and 4 groups of 100 individuals :

> p2 <- replicate(1000, { n <- rbinom(4, 100, 0.0125); 
                          x <- matrix( c(400, 100 - n, 0, n), ncol = 2);
                          fisher.test(x)$p.value} )
> mean(p2 < 0.05)
[1] 0.629

There’s quite a difference of power. Dividing the cases in 4 subgroups gives a more powerful test, even if there’s no difference of distribution between these subgroups. Of course this gain of power is not attributable to an increased type I error rate.

Is this phenomenon well-known? Does that mean that the first strategy is under-powered? Would a bootstrapped p-value be a better solution? All your comments are welcome.

Post Scriptum

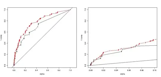
As pointed out by @MartijnWeterings, a great part of the reason of this behavior (which is not exactly my question!) lies in the fact the true type I errors of the tow analysis strategies are not the same. However this does not seem to explain everything. I tried to compare ROC Curves for $H_0 : p_0 = p_1 = 0.005$ vs $H1 : p_0 = 0.05 \ne p1 = 0.0125$.

Here is my code.

B <- 1e5
p0 <- 0.005
p1 <- 0.0125

# simulation under H0 with p = p0 = 0.005 in all groups
# a = 2 groups 400:400, b = 5 groupe 400:100:100:100:100

p.H0.a <- replicate(B, { n <- rbinom( 2, c(400,400), p0);
                           x <- matrix( c( c(400,400) -n, n ), ncol = 2);
                          fisher.test(x)$p.value} )

p.H0.b <- replicate(B, { n <- rbinom( 5, c(400,rep(100,4)), p0);
                           x <- matrix( c( c(400,rep(100,4)) -n, n ), ncol = 2);
                          fisher.test(x)$p.value} )

# simulation under H1 with p0 = 0.005 (controls) and p1 = 0.0125 (cases)

p.H1.a <- replicate(B, { n <- rbinom( 2, c(400,400), c(p0,p1) );
                           x <- matrix( c( c(400,400) -n, n ), ncol = 2);
                          fisher.test(x)$p.value} )

p.H1.b <- replicate(B, { n <- rbinom( 5, c(400,rep(100,4)), c(p0,rep(p1,4)) );
                           x <- matrix( c( c(400,rep(100,4)) -n, n ), ncol = 2);
                          fisher.test(x)$p.value} )

# roc curve 

ROC <- function(p.H0, p.H1) {
  p.threshold <- seq(0, 1.001, length=501)
  alpha <- sapply(p.threshold, function(th) mean(p.H0 <= th) )
  power <- sapply(p.threshold, function(th) mean(p.H1 <= th) )
  list(x = alpha, y = power)
}

par(mfrow=c(1,2))
plot( ROC(p.H0.a, p.H1.a) , type="b", xlab = "alpha", ylab = "1-beta" , xlim=c(0,1), ylim=c(0,1), asp = 1)
lines( ROC(p.H0.b, p.H1.b) , col="red", type="b" )
abline(0,1)

plot( ROC(p.H0.a, p.H1.a) , type="b", xlab = "alpha", ylab = "1-beta" , xlim=c(0,.1) )
lines( ROC(p.H0.b, p.H1.b) , col="red", type="b" )
abline(0,1)

Here is the result:

roc curves

So we see that a comparison at the same true type I error still leads to (indeed much smaller) differences.

Elvis
  • 12,666
  • I don't understand. Splitting the group of cases can make sense when some heterogeneity is suspected inside it -- say, they come from 5 different centers. Splitting the "exposed" modality does not seem to make sense to me. – Elvis Mar 07 '18 at 11:08
  • The point in my question is, even if there is no heterogeneity (regarding the exposed / unexposed status) between the subgroups of cases cases, there’s a (large) gain of power when considering these 4 groups of cases separately instead of pooling them. Not only this is counterintuitive, but this seem to imply that you can improve power by splitting the cases in 4 groups at random. Of course this won't be the case in all circumstances, but the above simulations show that at least for a rare "exposed" event and some group sizes, it works. It shouldn't. – Elvis Mar 07 '18 at 11:13
  • I edited to try to make it more clear... thank you for your comment. – Elvis Mar 07 '18 at 11:20
  • You mention "Of course this gain of power is not attributable to an increased type I error rate.". But I believe that you do change the type I error rate. The Fisher test is conservative; when the null hypothesis is true, then the case p < 0.05 may occur less often than 5% of the time. So the (effective) type I error rate is not fixed to this 5% and splitting into groups changes this (increasing). – Sextus Empiricus Mar 08 '18 at 00:10
  • I believe that the key of the problem is in the difference of the outcome values that are chosen to be "significant". The situation is five exposed individuals being drawn from 5 groups of 400, 100, 100, 100 and 100 size. Different selections can be made that are considered 'extreme'. apparently the power increases (even when the effective type I error is the same) when we go for the second strategy. – Sextus Empiricus Mar 13 '18 at 15:46
  • 1
    If we would sketch the difference between the first and second strategy graphically. Then I imagine a coordinate system with 5 axes (for the groups of 400 100 100 100 and 100) with a point for the hypothesis values and surface that depicts a distance of deviation beyond which the probability is below a certain level. With the first strategy this surface is a cylinder, with the second strategy this surface is a sphere. The same is true for the true values and a surface around it for the error. What we want is the overlap to be as small as possible. – Sextus Empiricus Mar 13 '18 at 15:49
  • The chi-square test of independence would not give same results for the two tables. Why should the Fisher test? They are testing the same hypothesis, independence of the column and row variable(s). – AdamO Mar 13 '18 at 16:24
  • 1
    I have adopted the end of my question providing a little bit more insight into the reasoning why there is a difference between the two methods. – Sextus Empiricus Mar 13 '18 at 17:35
  • Thanks @MartijnWeterings , this all seems to make sense. But... is there an obvious or a non-obvious modification of Fisher test which, in the case I consider (only one of the two margins is fixed by the experimenter — number of cases and controls —, and the repartitions follow binomial distributions with unknown parameters) which would behave better? (better control of type I error / higher power / no gain of power when dividing a homogeneous control sample in subsamples). – Elvis Mar 14 '18 at 08:11
  • 1
    I believe Barnard's exact test is used when only one of the two margins is fixed. But probably you will get the same effects. – Sextus Empiricus Mar 14 '18 at 11:09
  • I don't know Barnard's exact test, I’ll try to have a look – Elvis Mar 14 '18 at 11:14
  • 1
    another (more) interesting note that I wanted to make is that the power actually reduces when you test with p0>p1. So the power increases when p1>p0, at the same alpha level. But the power decreases when p1<p0 (I even get a curve that is below the diagonal). – Sextus Empiricus Mar 14 '18 at 11:20

1 Answers1

5

Why the p-values different

There are two effects going on:

  • Because of the discreteness of the values you choose the 'most likely to happen' 0 2 1 1 1 vector. But this would differ from the (impossible) 0 1.25 1.25 1.25 1.25, which would have a smaller $\chi^2$ value.

    The result is that the vector 5 0 0 0 0 is not being counted anymore as at least of extreme case (5 0 0 0 0 has smaller $\chi^2$ than 0 2 1 1 1) . This was the case before. The two sided Fisher test on the 2x2 table counts both cases of the 5 exposures being in the first or the second group as equally extreme.

    This is why the p-value differs by almost a factor 2. (not exactly because of the next point)

  • While you loose the 5 0 0 0 0 as an equally extreme case, you gain the 1 4 0 0 0 as a more extreme case than 0 2 1 1 1.

So the difference is in the boundary of the $\chi^2$ value (or a directly calculated p-value as used by the R implementation of the exact Fisher test). If you split up the group of 400 into 4 groups of 100 then different cases will be considered as more or less 'extreme' than the other. 5 0 0 0 0 is now less 'extreme' than 0 2 1 1 1. But 1 4 0 0 0 is more 'extreme'.


code example:

# probability of distribution a and b exposures among 2 groups of 400
draw2 <- function(a,b) {
  choose(400,a)*choose(400,b)/choose(800,5)
}

# probability of distribution a, b, c, d and e exposures among 5 groups of resp 400, 100, 100, 100, 100
draw5 <- function(a,b,c,d,e) {
choose(400,a)*choose(100,b)*choose(100,c)*choose(100,d)*choose(100,e)/choose(800,5)
}

# looping all possible distributions of 5 exposers among 5 groups
# summing the probability when it's p-value is smaller or equal to the observed value 0 2 1 1 1
sumx <- 0
for (f in c(0:5)) {
  for(g in c(0:(5-f))) {
    for(h in c(0:(5-f-g))) {
      for(i in c(0:(5-f-g-h))) {
        j = 5-f-g-h-i
        if (draw5(f, g, h, i, j) <= draw5(0, 2, 1, 1, 1)) {
          sumx <- sumx + draw5(f, g, h, i, j)
        }
      }
    }
  } 
}
sumx  #output is 0.3318617

# the split up case (5 groups, 400 100 100 100 100) can be calculated manually
# as a sum of probabilities for cases 0 5 and 1 4 0 0 0 (0 5 includes all cases 1 a b c d with the sum of the latter four equal to 5)
fisher.test(matrix( c(400, 98, 99 , 99, 99, 0, 2, 1, 1, 1) , ncol = 2))[1]
draw2(0,5) + 4*draw(1,4,0,0,0)

# the original case of 2 groups (400 400) can be calculated manually
# as a sum of probabilities for the cases 0 5 and 5 0 
fisher.test(matrix( c(400, 395, 0, 5) , ncol = 2))[1]
draw2(0,5) + draw2(5,0)

output of that last bit

> fisher.test(matrix( c(400, 98, 99 , 99, 99, 0, 2, 1, 1, 1) , ncol = 2))[1]
$p.value
[1] 0.03318617

> draw2(0,5) + 4*draw(1,4,0,0,0)
[1] 0.03318617

> fisher.test(matrix( c(400, 395, 0, 5) , ncol = 2))[1]
$p.value
[1] 0.06171924

> draw2(0,5) + draw2(5,0)
[1] 0.06171924

How it effects power when splitting groups

  • There are some differences due to the discrete steps in the 'available' levels of the p-values and the conservativeness of Fishers's exact test (and these differences may become quite big).

  • also the Fisher test fits the (unknown) model based on the data and then uses this model to calculate p-values. The model in the example is that there are exactly 5 exposed individuals. If you model the data with a binomial for the different groups then you will get occasionally more or less than 5 individuals. When you apply the fisher test to this, then some of the error will be fitted and the residuals will be smaller in comparison to tests with fixed marginals. The result is that the test is much too conservative, not exact.

I had expected that the effect on the experiment type I error probability would not be so great if you randomly split the groups. If the null hypothesis is true then you will encounter in roughly $\alpha$ percent of the cases a significant p-value. For this example the differences are big as the image shows. The main reason is that, with total 5 exposures, there are only three levels of absolute difference (5-0, 4-1, 3-2, 2-3, 1-4, 0-5) and only three discrete p-values (in the case of two groups of 400).

Most interesting is the plot of probabilities to reject $H_0$ if $H_0$ is true and if $H_a$ is true. In this case the alpha level and discreteness does not matter so much (we plot the effective rejection rate), and we still see a big difference.

The question remains whether this holds for all possible situations.

3 times code adjustment of your power analysis (and 3 images):

using binomial restricting to case of 5 exposed individuals

Plots of the effective probability to reject $H_0$ as function of the selected alpha. It is known for Fisher's exact test that the p-value is exactly calculated but only few levels (the steps) occur so often the test might be too conservative in relation to a chosen alpha level.

It is interesting to see that the effect is much stronger for the 400-400 case (red) versus the 400-100-100-100-100 case (blue). Thus we may indeed uses this split up to increase the power, make it more likely to reject the H_0. (although we care not so much about making the type I error more likely, so the point of doing this split up to increase power may not always be so strong)

different probabilities to reject H0

using binomial not restricting to 5 exposed individuals

If we use a binomial like you did then neither of the two cases 400-400 (red) or 400-100-100-100-100 (blue) gives an accurate p-value. This is because the Fisher exact test assumes fixed row and column totals, but the binomial model allows these to be free. The Fisher test will 'fit' the row and column totals making the residual term smaller than the true error term.

overly conservative Fisher's exact test

does the increased power come at a cost?

If we compare the probabilities of rejecting when the $H_0$ is true and when the $H_a$ is true (we wish the first value low and the second value high) then we see that indeed the power (rejecting when $H_a$ is true) can be increased without the cost that the type I error increases.

comparing H_0 and H_a

# using binomial distribution for 400, 100, 100, 100, 100
# x uses separate cases
# y uses the sum of the 100 groups
p <- replicate(4000, { n <- rbinom(4, 100, 0.006125); m <- rbinom(1, 400, 0.006125); 
x <- matrix( c(400 - m, 100 - n, m, n), ncol = 2);
y <- matrix( c(400 - m, 400 - sum(n), m, sum(n)), ncol = 2);
c(sum(n,m),fisher.test(x)$p.value,fisher.test(y)$p.value)} )

# calculate hypothesis test using only tables with sum of 5 for the 1st row
ps <- c(1:1000)/1000
m1 <- sapply(ps,FUN = function(x) mean(p[2,p[1,]==5] < x))
m2 <- sapply(ps,FUN = function(x) mean(p[3,p[1,]==5] < x))

plot(ps,ps,type="l",
     xlab = "chosen alpha level",
     ylab = "p rejection")
lines(ps,m1,col=4)
lines(ps,m2,col=2)

title("due to concervative test p-value will be smaller\n leading to differences")

# using all samples also when the sum exposed individuals is not 5
ps <- c(1:1000)/1000
m1 <- sapply(ps,FUN = function(x) mean(p[2,] < x))
m2 <- sapply(ps,FUN = function(x) mean(p[3,] < x))

plot(ps,ps,type="l", 
     xlab = "chosen alpha level",
     ylab = "p rejection")
lines(ps,m1,col=4)
lines(ps,m2,col=2)

title("overly conservative, low effective p-values \n fitting marginals makes residuals smaller than real error")


#   
# Third graph comparing H_0 and H_a
#
# using binomial distribution for 400, 100, 100, 100, 100
# x uses separate cases
# y uses the sum of the 100 groups
offset <- 0.5
p <- replicate(10000, { n <- rbinom(4, 100, offset*0.0125); m <- rbinom(1, 400, (1-offset)*0.0125); 
x <- matrix( c(400 - m, 100 - n, m, n), ncol = 2);
y <- matrix( c(400 - m, 400 - sum(n), m, sum(n)), ncol = 2);
c(sum(n,m),fisher.test(x)$p.value,fisher.test(y)$p.value)} )

# calculate hypothesis test using only tables with sum of 5 for the 1st row
ps <- c(1:10000)/10000
m1 <- sapply(ps,FUN = function(x) mean(p[2,p[1,]==5] < x))
m2 <- sapply(ps,FUN = function(x) mean(p[3,p[1,]==5] < x))

offset <- 0.6
p <- replicate(10000, { n <- rbinom(4, 100, offset*0.0125); m <- rbinom(1, 400, (1-offset)*0.0125); 
x <- matrix( c(400 - m, 100 - n, m, n), ncol = 2);
y <- matrix( c(400 - m, 400 - sum(n), m, sum(n)), ncol = 2);
c(sum(n,m),fisher.test(x)$p.value,fisher.test(y)$p.value)} )

# calculate hypothesis test using only tables with sum of 5 for the 1st row
ps <- c(1:10000)/10000
m1a <- sapply(ps,FUN = function(x) mean(p[2,p[1,]==5] < x))
m2a <- sapply(ps,FUN = function(x) mean(p[3,p[1,]==5] < x))

plot(ps,ps,type="l",
     xlab = "p rejecting if H_0 true",
     ylab = "p rejecting if H_a true",log="xy")
points(m1,m1a,col=4)
points(m2,m2a,col=2)

legend(0.01,0.001,c("400-400","400-100-100-100-100"),pch=c(1,1),col=c(2,4))

title("comparing H_0:p=0.5 \n with H_a:p=0.6")

Why does it affect the power

I believe that the key of the problem is in the difference of the outcome values that are chosen to be "significant". The situation is five exposed individuals being drawn from 5 groups of 400, 100, 100, 100 and 100 size. Different selections can be made that are considered 'extreme'. apparently the power increases (even when the effective type I error is the same) when we go for the second strategy.

If we would sketch the difference between the first and second strategy graphically. Then I imagine a coordinate system with 5 axes (for the groups of 400 100 100 100 and 100) with a point for the hypothesis values and surface that depicts a distance of deviation beyond which the probability is below a certain level. With the first strategy this surface is a cylinder, with the second strategy this surface is a sphere. The same is true for the true values and a surface around it for the error. What we want is the overlap to be as small as possible.

We can make an actual graphic when we consider a slightly different problem (with lower dimensionality).

Imagine we wish to test a Bernoulli process $H_0: p=0.5$ by doing 1000 experiments. Then we can do the same strategy by splitting the 1000 up into groups into two groups of size 500. How does this look like (let X and Y be the counts in both groups)?

example of mechanism

The plot shows how the groups of 500 and 500 (instead of a single group of 1000) are distributed.

The standard hypothesis test would assess (for a 95% alpha level) whether the sum of X and Y is larger than 531 or smaller than 469.

But this includes very unlikely unequal distribution of X and Y.

Imagine a shift of the distribution from $H_0$ to $H_a$. Then the regions in the edges do not matter so much, and a more circular boundary would make more sense.

This is however not (necesarilly) true when we do not select the splitting of the groups randomly and when there may be a meaning to the groups.

  • Try to run my code for power estimation, just replacing 0.0125 by 0.02 (to match your suggestion of having an average of 8 exposed cases) : the 400 vs 400 analysis has a power of 80%, and the analysis with 5 group has a power of 90%. – Elvis Mar 07 '18 at 11:45
  • However I do agree that the statistic can take less different values in the first situation, and that it does not help. However this is not sufficient to explain the problem: this power superiority can be observed for all levels of type I error, not only 0.05. The quantiles of the p-values obtained by the second strategy are always lower than those obtained by the first one. – Elvis Mar 07 '18 at 11:56
  • I think I agree with what you say. But what is the conclusion? Would you recommend to split randomly the group of cases in 4 subgroups, to gain some power? Or do you agree with me that this can't be justified? – Elvis Mar 07 '18 at 22:03
  • I think the problem is not that the test with cases split in 4 subgroups may have bad properties — we both agreed on the fact that its type I error rate should behave well. I think that the problem is that the test with 400 controls vs 400 cases is underpowered. Is there any "clean" solution to this? Could bootstrap p-value help? – Elvis Mar 07 '18 at 22:05
  • (I am sorry that my question was not fully clear!) – Elvis Mar 07 '18 at 22:06
  • A few quick comments: your first and third simulations are the same — conditioning on the sum = 5 or sampling without replacement are really the same. The labeling on your graphs is misleading, on the x-axis you have "α we aimed at' and on the y-axis, "α we achieve" — not a p-value (at first I thought that it was a p-value qq-plot, which it isn't, it's its symmetrical — the qq-plot shows observed quantiles higher than the expect quantiles, thus overconservativeness). – Elvis Mar 08 '18 at 07:48
  • Many thanks anyway for the time you put in this, I appreciate very much. Your second graph is very interesting, it shows that overconservativeness is more pronounced with the first strategy than with the second. I still don’t know if I am fully satisfied with this :) I won’t have time today to think further to this, I’ll come back to you tomorrow. – Elvis Mar 08 '18 at 07:54
  • Dear Martijn, I have added a Post-Scriptum... most of this behavior is explained by over-conservativeness, but, I think, not all of it. – Elvis Mar 13 '18 at 15:26