I am trying to fit an exponential decay function to y-values that become negative at high x-values, but am unable to configure my nls function correctly.
Aim
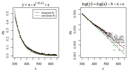
I am interested in the slope of the decay function ($\lambda$ according to some sources). How I get this slope is not important, but the model should fit my data as well as possible (i.e. linearizing the problem is acceptable, if the fit is good; see "linearization"). Yet, previous works on this topic have used a following exponential decay function (closed access article by Stedmon et al., equation 3):
$f(y) = a \times exp(-S \times x) + K$
where S is the slope I am interested in, K the correction factor to allow negative values and a the initial value for x (i.e. intercept).
I need to do this in R, as I am writing a function that converts raw measurements of chromophoric dissolved organic matter (CDOM) to values that researchers are interested in.
Example data
Due to the nature of the data, I had to use PasteBin. The example data are available here.
Write dt <- and copy the code fom PasteBin to your R console. I.e.
dt <- structure(list(x = ...
The data look like this:
library(ggplot2)
ggplot(dt, aes(x = x, y = y)) + geom_point()
Negative y values take place when $x > 540 nm$.
Trying to find solution using nls
Initial attempt using nls produces a singularity, which should not be a surprise seeing that I just eyeballed start values for parameters:
nls(y ~ a * exp(-S * x) + K, data = dt, start = list(a = 0.5, S = 0.1, K = -0.1))
# Error in nlsModel(formula, mf, start, wts) :
# singular gradient matrix at initial parameter estimates
Following this answer, I can try to make better fitting start parameters to help the nls function:
K0 <- min(dt$y)/2
mod0 <- lm(log(y - K0) ~ x, data = dt) # produces NaNs due to the negative values
start <- list(a = exp(coef(mod0)[1]), S = coef(mod0)[2], K = K0)
nls(y ~ a * exp(-S * x) + K, data = dt, start = start)
# Error in nls(y ~ a * exp(-S * x) + K, data = dt, start = start) :
# number of iterations exceeded maximum of 50
The function does not seem to be able to find a solution with the default number of iterations. Let's increase the number of iterations:
nls(y ~ a * exp(-S * x) + K, data = dt, start = start, nls.control(maxiter = 1000))
# Error in nls(y ~ a * exp(-S * x) + K, data = dt, start = start, nls.control(maxiter = 1000)) :
# step factor 0.000488281 reduced below 'minFactor' of 0.000976562
More errors. Chuck it! Let's just force the function to give us a solution:
mod <- nls(y ~ a * exp(-S * x) + K, data = dt, start = start, nls.control(maxiter = 1000, warnOnly = TRUE))
mod.dat <- data.frame(x = dt$x, y = predict(mod, list(wavelength = dt$x)))
ggplot(dt, aes(x = x, y = y)) + geom_point() +
geom_line(data = mod.dat, aes(x = x, y = y), color = "red")
Well, this was definitely not a good solution...
Linearizing the problem
Many people have linearized their exponential decay functions with a success (sources: 1, 2, 3). In this case, we need to make sure that no y value is negative or 0. Let's make the minimum y value as close to 0 as possible within the floating point limits of computers:
K <- abs(min(dt$y))
dt$y <- dt$y + K*(1+10^-15)
fit <- lm(log(y) ~ x, data=dt)
ggplot(dt, aes(x = x, y = y)) + geom_point() +
geom_line(aes(x=x, y=exp(fit$fitted.values)), color = "red")
Much better, but the model does not trace y values perfectly at low x values.
Note that the nls function would still not manage to fit the exponential decay:
K0 <- min(dt$y)/2
mod0 <- lm(log(y - K0) ~ x, data = dt) # produces NaNs due to the negative values
start <- list(a = exp(coef(mod0)[1]), S = coef(mod0)[2], K = K0)
nls(y ~ a * exp(-S * x) + K, data = dt, start = start)
# Error in nlsModel(formula, mf, start, wts) :
# singular gradient matrix at initial parameter estimates
Do the negative values matter?
The negative values are obviously a measurement error as absorption coefficients cannot be negative. So what if I make the y values generously positive? It is the slope I am interested in. If addition does not affect the slope, I should be settled:
dt$y <- dt$y + 0.1
fit <- lm(log(y) ~ x, data=dt)
ggplot(dt, aes(x = x, y = y)) + geom_point() + geom_line(aes(x=x, y=exp(fit$fitted.values)), color = "red")
Well, this did not go that well...High x values should obviously be as close to zero as possible.
The question
I am obviously doing something wrong here. What is the most accurate way to estimate slope for an exponential decay function fitted on data that have negative y values using R?






nlsconverged for me using the starting values $a=1, S =0.01, K=-0.0001$. Alternatively, you could use the self-starting function:nls(y~SSasymp(x, Asym, r0, lrc), data = dt). That converges for me too. – COOLSerdash Dec 15 '17 at 09:59