I have a fitted mixed-effects model with a continuous dependent variable and multiple predictors that each vary by multiple random factors. In R, a simplified version of the model has the following form:
lmer(DV ~ A + B + (A + B | X))
A and B (both continuous predictors) are not permitted to interact with each other in the model, and they are strongly correlated with each other (r^2 ≈ .75). (As the actual data set includes >100K observations, though, this collinearity does not seem to pose a problem for significance testing.)
For each predictor A and B, I want to visualize the fixed effect of that predictor -- and that predictor "alone" -- on the DV while reasonably representing the variability in the underlying data. (Showing their joint/simultaneous effect on the DV is likely not a viable option as my actual data set includes 3 continuous variables.) The issue is that I'm not sure how to do this in a statistically fair way given the random effects structure (which makes me unsure of how to apply the advice given to this question). So far, I have considered the following two options for Predictor A, with analogous graphs for Predictor B:
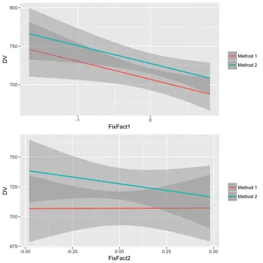
Method 1: Graph the relationship between A and [DV minus the fixed-effect contribution of Predictor B]. Given that A and B are centered, this would show the effect of each variable when the other one is held constant at its mean; and since they're highly correlated/collinear with the DV, I think this would show each of them accounting for the (significant amount of) shared variance.
Method 2: Graph the relationship between A and [residual error plus the overall intercept plus the fixed-effect contribution of Predictor A]. I think this would show each variable accounting only for the fixed-effect variance it uniquely accounts for.
Due (I think) to collinearity and to the random effects structure, these methods do not necessarily generate the same figures; a reproducible example demonstrating this on a subset of the data can be found below (though in fairness, many other subsets of the data did yield remarkably similar plots for the two methods). Of course, other options may well be better than either of these! My question is: What is a fair way to separately visualize the effects of each predictor on the DV?
(Apologies in advance if others think I should have posted this question to StackOverflow instead of CrossValidated, but I feel the crux of the question is statistical in nature.)
# load libraries
library(lme4)
library(ggplot2)
library(gridExtra)
# directly specify data frame
# (sorry for the enormous length -- smaller subsets of data did not seem to do the job)
example.df <- structure(list(RanFact = structure(c(1L, 1L, 1L, 1L, 1L, 1L, 1L, 1L, 1L, 1L, 1L, 1L, 1L, 1L, 1L, 1L, 1L, 1L, 1L, 1L, 1L, 1L, 1L, 1L, 1L, 1L, 1L, 1L, 1L, 1L, 1L, 1L, 1L, 1L, 1L, 1L, 1L, 1L, 1L, 1L, 1L, 1L, 1L, 1L, 1L, 1L, 1L, 1L, 1L, 1L, 1L, 1L, 1L, 1L, 1L, 1L, 1L, 1L, 1L, 1L, 1L, 1L, 1L, 1L, 1L, 1L, 1L, 1L, 1L, 1L, 1L, 1L, 1L, 1L, 1L, 1L, 1L, 1L, 1L, 1L, 1L, 1L, 1L, 1L, 2L, 2L, 2L, 2L, 2L, 2L, 2L, 2L, 2L, 2L, 2L, 2L, 2L, 2L, 2L, 2L, 2L, 2L, 2L, 2L, 2L, 2L, 2L, 2L, 2L, 2L, 2L, 2L, 2L, 2L, 2L, 2L, 2L, 2L, 2L, 2L, 2L, 2L, 2L, 2L, 2L, 2L, 2L, 2L, 2L, 2L, 2L, 2L, 2L, 2L, 2L, 2L, 2L, 2L, 2L, 2L, 2L, 2L, 2L, 2L, 2L, 2L, 2L, 2L, 2L, 2L, 2L, 2L, 2L, 2L, 2L, 2L, 2L, 2L, 2L, 2L, 2L, 2L, 2L, 2L, 2L, 2L, 2L, 2L, 3L, 3L, 3L, 3L, 3L, 3L, 3L, 3L, 3L, 3L, 3L, 3L, 3L, 3L, 3L, 3L, 3L, 3L, 3L, 3L, 3L, 3L, 3L, 3L, 3L, 3L, 3L, 3L, 3L, 3L, 3L, 3L, 3L, 3L, 3L, 3L, 3L, 3L, 3L, 3L, 3L, 3L, 3L, 3L, 3L, 3L, 3L, 3L, 3L, 3L, 3L, 3L, 3L, 3L, 3L, 3L, 3L, 3L, 3L, 3L, 3L, 3L, 3L, 3L, 3L, 3L, 3L, 3L, 3L, 3L, 3L, 3L, 3L, 3L, 3L, 3L, 3L, 3L, 3L, 3L, 3L, 3L, 3L, 3L, 3L, 3L, 3L, 3L, 3L, 3L, 3L, 3L, 3L, 3L, 3L, 3L, 3L, 3L, 3L, 3L, 3L, 3L, 3L, 3L, 3L, 3L, 3L, 3L, 3L, 3L, 3L, 3L, 3L, 3L, 3L, 3L, 3L, 3L, 3L, 3L, 4L, 4L, 4L, 4L, 4L, 4L, 4L, 4L, 4L, 4L, 4L, 4L, 4L, 4L, 4L, 4L, 4L, 4L, 4L, 4L, 4L, 4L, 4L, 4L, 4L, 4L, 4L, 4L, 4L, 4L, 4L, 4L, 4L, 4L, 4L, 5L, 5L, 5L, 5L, 5L, 5L, 5L, 5L, 5L, 5L, 5L, 5L, 5L, 5L, 5L, 5L, 5L, 5L, 5L, 5L, 5L, 5L, 5L, 5L, 5L, 5L, 5L, 5L, 5L, 5L, 5L, 5L, 5L, 5L, 5L, 5L, 6L, 6L, 6L, 6L, 6L, 6L, 6L, 6L, 6L, 6L, 6L, 6L, 6L, 6L, 6L, 6L, 6L, 6L, 6L, 6L, 6L, 6L, 6L, 6L, 6L, 6L, 6L, 6L, 6L, 6L, 6L, 6L, 6L, 6L, 6L, 6L, 6L, 6L, 6L, 6L, 6L, 6L, 6L, 6L, 6L, 6L, 6L, 6L, 6L, 6L, 6L, 6L, 6L, 6L, 6L, 6L, 6L, 6L, 6L, 6L, 6L, 6L, 6L, 6L, 6L, 6L, 6L, 6L, 6L, 6L, 6L, 6L, 6L, 6L, 6L, 6L, 6L, 6L, 6L, 6L, 6L, 6L, 6L, 6L, 7L, 7L, 7L, 7L, 7L, 7L, 7L, 7L, 7L, 7L, 7L, 7L, 7L, 7L, 7L, 7L, 7L, 7L, 7L, 7L, 7L, 7L, 7L, 7L, 7L, 7L, 7L, 7L, 7L, 7L, 7L, 7L, 7L, 7L, 7L, 7L, 7L, 7L, 7L, 7L, 7L, 7L, 7L, 7L, 7L, 7L, 7L, 7L, 7L, 7L, 7L, 7L, 7L, 7L, 7L, 7L, 7L, 7L, 7L, 7L, 7L, 7L, 7L, 7L, 7L, 7L, 7L, 7L, 7L, 7L, 7L, 7L, 7L, 7L, 7L, 7L, 7L, 7L, 7L, 7L, 7L, 7L, 7L, 7L, 7L, 7L, 7L, 7L, 7L, 7L, 7L, 7L, 7L, 7L, 7L, 7L, 7L, 7L, 7L, 7L, 7L, 7L, 7L, 7L, 7L, 7L, 7L, 7L, 7L, 7L, 7L, 7L, 7L, 7L, 7L, 7L, 7L, 7L, 7L, 8L, 8L, 8L, 8L, 8L, 8L, 8L, 8L, 8L, 8L, 8L, 8L, 8L, 8L, 8L, 8L, 8L, 8L, 8L, 8L, 8L, 8L, 8L, 8L, 8L, 8L, 8L, 8L, 8L, 8L, 8L, 8L, 8L, 8L, 8L, 8L, 9L, 9L, 9L, 9L, 9L, 9L, 9L, 9L, 9L, 9L, 9L, 9L, 9L, 9L, 9L, 9L, 9L, 9L, 9L, 9L, 9L, 9L, 9L, 9L, 9L, 9L, 9L, 9L, 9L, 9L, 9L, 9L, 9L, 9L, 9L, 9L, 10L, 10L, 10L, 10L, 10L, 10L, 10L, 10L, 10L, 10L, 10L, 10L, 10L, 10L, 10L, 10L, 10L, 10L, 10L, 10L, 10L, 10L, 10L, 10L, 10L, 10L, 10L, 10L, 10L, 10L, 10L, 10L, 10L, 10L, 10L, 10L, 10L, 10L, 10L, 10L, 10L, 10L, 10L, 10L, 10L, 10L, 10L, 10L, 10L, 10L, 10L, 10L, 10L, 10L, 10L, 10L, 10L, 10L, 10L, 10L, 10L, 10L, 10L, 10L, 10L, 10L, 10L, 10L, 10L, 10L, 10L, 10L, 10L, 10L, 10L, 10L, 10L, 10L, 10L, 10L, 10L, 10L, 10L, 10L, 10L, 10L, 10L, 10L, 10L, 10L, 10L, 10L, 10L, 10L, 10L, 10L, 10L, 10L, 10L, 10L, 10L, 10L, 10L, 10L, 10L, 10L, 10L, 10L, 10L, 10L, 10L, 10L, 10L, 10L, 10L, 10L, 10L, 10L, 10L, 10L, 11L, 11L, 11L, 11L, 11L, 11L, 11L, 11L, 11L, 11L, 11L, 11L, 11L, 11L, 11L, 11L, 11L, 11L, 11L, 11L, 11L, 11L, 11L, 11L, 11L, 11L, 11L, 11L, 11L, 11L, 11L, 11L, 11L, 11L, 11L, 11L, 11L, 11L, 11L, 11L, 11L, 11L, 11L, 11L, 11L, 11L, 11L, 11L, 11L, 11L, 11L, 11L, 11L, 11L, 11L, 11L, 11L, 11L, 11L, 11L, 11L, 11L, 11L, 11L, 11L, 11L, 11L, 11L, 11L, 11L, 11L, 11L, 11L, 11L, 11L, 11L, 11L, 11L, 11L, 11L, 11L, 11L, 11L, 11L, 12L, 12L, 12L, 12L, 12L, 12L, 12L, 12L, 12L, 12L, 12L, 12L, 12L, 12L, 12L, 12L, 12L, 12L, 12L, 12L, 12L, 12L, 12L, 12L, 12L, 12L, 12L, 12L, 12L, 12L, 12L, 12L, 12L, 12L, 12L, 12L, 12L, 12L, 12L, 12L, 12L, 12L, 12L, 12L, 12L, 12L, 12L, 12L, 12L, 12L, 12L, 12L, 12L, 12L, 12L, 12L, 12L, 12L, 12L, 12L, 12L, 12L, 12L, 12L, 12L, 12L, 12L, 12L, 12L, 12L, 12L, 12L, 12L, 12L, 12L, 12L, 12L, 12L, 12L, 12L, 12L, 12L, 12L, 13L, 13L, 13L, 13L, 13L, 13L, 13L, 13L, 13L, 13L, 13L, 13L, 13L, 13L, 13L, 13L, 13L, 13L, 13L, 13L, 13L, 13L, 13L, 13L, 13L, 13L, 13L, 13L, 13L, 13L, 13L, 13L, 13L, 13L, 13L, 14L, 14L, 14L, 14L, 14L, 14L, 14L, 14L, 14L, 14L, 14L, 14L, 14L, 14L, 14L, 14L, 14L, 14L, 14L, 14L, 14L, 14L, 14L, 14L, 14L, 14L, 14L, 14L, 14L, 14L, 14L, 14L, 14L, 14L, 14L, 14L, 14L, 14L, 14L, 14L, 14L, 14L, 14L, 14L, 14L, 14L, 14L, 14L, 14L, 14L, 14L, 14L, 14L, 14L, 14L, 14L, 14L, 14L, 14L, 14L, 14L, 14L, 14L, 14L, 14L, 14L, 14L, 14L, 14L, 14L, 14L, 14L, 14L, 14L, 14L, 14L, 14L, 14L, 14L, 14L, 14L, 14L, 14L, 14L, 14L, 14L, 14L, 14L, 14L, 14L, 14L, 14L, 14L, 14L, 14L, 14L, 14L, 14L, 14L, 14L, 14L, 14L, 14L, 14L, 14L, 14L, 14L, 14L, 14L, 14L, 14L, 14L, 14L, 14L, 14L, 14L, 14L, 14L, 14L), .Label = c("a", "b", "c", "d", "e", "f", "g", "h", "i", "j", "k", "l", "m", "n"), class = "factor"), FixFact1 = c(-1.67, -1.67, -1.67, -1.67, -1.67, -1.67, -1.67, -.98, -.98, -.98, -.98, -.98, -.98, -.98, -.57, -.57, -.57, -.57, -.57, -.57, -.57, -.28, -.28, -.28, -.28, -.28, -.28, -.28, -.06, -.06, -.06, -.06, -.06, -.06, -.06, 0.12, 0.12, 0.12, 0.12, 0.12, 0.12, 0.12, 0.28, 0.28, 0.28, 0.28, 0.28, 0.28, 0.28, 0.41, 0.41, 0.41, 0.41, 0.41, 0.41, 0.41, 0.53, 0.53, 0.53, 0.53, 0.53, 0.53, 0.53, 0.63, 0.63, 0.63, 0.63, 0.63, 0.63, 0.63, 0.73, 0.73, 0.73, 0.73, 0.73, 0.73, 0.73, 0.82, 0.82, 0.82, 0.82, 0.82, 0.82, 0.82, -1.67, -1.67, -1.67, -1.67, -1.67, -1.67, -1.67, -.98, -.98, -.98, -.98, -.98, -.98, -.98, -.57, -.57, -.57, -.57, -.57, -.57, -.57, -.28, -.28, -.28, -.28, -.28, -.28, -.28, -.06, -.06, -.06, -.06, -.06, -.06, -.06, 0.12, 0.12, 0.12, 0.12, 0.12, 0.12, 0.12, 0.28, 0.28, 0.28, 0.28, 0.28, 0.28, 0.28, 0.41, 0.41, 0.41, 0.41, 0.41, 0.41, 0.41, 0.53, 0.53, 0.53, 0.53, 0.53, 0.53, 0.53, 0.63, 0.63, 0.63, 0.63, 0.63, 0.63, 0.63, 0.73, 0.73, 0.73, 0.73, 0.73, 0.73, 0.73, 0.82, 0.82, 0.82, 0.82, 0.82, 0.82, 0.82, -1.67, -1.67, -1.67, -1.67, -1.67, -1.67, -1.67, -1.67, -1.67, -1.67, -.98, -.98, -.98, -.98, -.98, -.98, -.98, -.98, -.98, -.98, -.57, -.57, -.57, -.57, -.57, -.57, -.57, -.57, -.57, -.57, -.28, -.28, -.28, -.28, -.28, -.28, -.28, -.28, -.28, -.28, -.06, -.06, -.06, -.06, -.06, -.06, -.06, -.06, -.06, -.06, 0.12, 0.12, 0.12, 0.12, 0.12, 0.12, 0.12, 0.12, 0.12, 0.12, 0.28, 0.28, 0.28, 0.28, 0.28, 0.28, 0.28, 0.28, 0.28, 0.28, 0.41, 0.41, 0.41, 0.41, 0.41, 0.41, 0.41, 0.41, 0.41, 0.41, 0.53, 0.53, 0.53, 0.53, 0.53, 0.53, 0.53, 0.53, 0.53, 0.53, 0.63, 0.63, 0.63, 0.63, 0.63, 0.63, 0.63, 0.63, 0.63, 0.63, 0.73, 0.73, 0.73, 0.73, 0.73, 0.73, 0.73, 0.73, 0.73, 0.73, 0.82, 0.82, 0.82, 0.82, 0.82, 0.82, 0.82, 0.82, 0.82, 0.82, -1.67, -1.67, -1.67, -.98, -.98, -.98, -.57, -.57, -.57, -.28, -.28, -.06, -.06, -.06, 0.12, 0.12, 0.12, 0.28, 0.28, 0.28, 0.41, 0.41, 0.41, 0.53, 0.53, 0.53, 0.63, 0.63, 0.63, 0.73, 0.73, 0.73, 0.82, 0.82, 0.82, -1.67, -1.67, -1.67, -.98, -.98, -.98, -.57, -.57, -.57, -.28, -.28, -.28, -.06, -.06, -.06, 0.12, 0.12, 0.12, 0.28, 0.28, 0.28, 0.41, 0.41, 0.41, 0.53, 0.53, 0.53, 0.63, 0.63, 0.63, 0.73, 0.73, 0.73, 0.82, 0.82, 0.82, -1.67, -1.67, -1.67, -1.67, -1.67, -1.67, -1.67, -.98, -.98, -.98, -.98, -.98, -.98, -.98, -.57, -.57, -.57, -.57, -.57, -.57, -.57, -.28, -.28, -.28, -.28, -.28, -.28, -.28, -.06, -.06, -.06, -.06, -.06, -.06, -.06, 0.12, 0.12, 0.12, 0.12, 0.12, 0.12, 0.12, 0.28, 0.28, 0.28, 0.28, 0.28, 0.28, 0.28, 0.41, 0.41, 0.41, 0.41, 0.41, 0.41, 0.41, 0.53, 0.53, 0.53, 0.53, 0.53, 0.53, 0.53, 0.63, 0.63, 0.63, 0.63, 0.63, 0.63, 0.63, 0.73, 0.73, 0.73, 0.73, 0.73, 0.73, 0.73, 0.82, 0.82, 0.82, 0.82, 0.82, 0.82, 0.82, -1.67, -1.67, -1.67, -1.67, -1.67, -1.67, -1.67, -1.67, -1.67, -.98, -.98, -.98, -.98, -.98, -.98, -.98, -.98, -.98, -.98, -.57, -.57, -.57, -.57, -.57, -.57, -.57, -.57, -.57, -.57, -.28, -.28, -.28, -.28, -.28, -.28, -.28, -.28, -.28, -.28, -.06, -.06, -.06, -.06, -.06, -.06, -.06, -.06, -.06, -.06, 0.12, 0.12, 0.12, 0.12, 0.12, 0.12, 0.12, 0.12, 0.12, 0.12, 0.28, 0.28, 0.28, 0.28, 0.28, 0.28, 0.28, 0.28, 0.28, 0.28, 0.41, 0.41, 0.41, 0.41, 0.41, 0.41, 0.41, 0.41, 0.41, 0.41, 0.53, 0.53, 0.53, 0.53, 0.53, 0.53, 0.53, 0.53, 0.53, 0.53, 0.63, 0.63, 0.63, 0.63, 0.63, 0.63, 0.63, 0.63, 0.63, 0.63, 0.73, 0.73, 0.73, 0.73, 0.73, 0.73, 0.73, 0.73, 0.73, 0.73, 0.82, 0.82, 0.82, 0.82, 0.82, 0.82, 0.82, 0.82, 0.82, 0.82, -1.67, -1.67, -1.67, -.98, -.98, -.98, -.57, -.57, -.57, -.28, -.28, -.28, -.06, -.06, -.06, 0.12, 0.12, 0.12, 0.28, 0.28, 0.28, 0.41, 0.41, 0.41, 0.53, 0.53, 0.53, 0.63, 0.63, 0.63, 0.73, 0.73, 0.73, 0.82, 0.82, 0.82, -1.67, -1.67, -1.67, -.98, -.98, -.98, -.57, -.57, -.57, -.28, -.28, -.28, -.06, -.06, -.06, 0.12, 0.12, 0.12, 0.28, 0.28, 0.28, 0.41, 0.41, 0.41, 0.53, 0.53, 0.53, 0.63, 0.63, 0.63, 0.73, 0.73, 0.73, 0.82, 0.82, 0.82, -1.67, -1.67, -1.67, -1.67, -1.67, -1.67, -1.67, -1.67, -1.67, -1.67, -.98, -.98, -.98, -.98, -.98, -.98, -.98, -.98, -.98, -.98, -.57, -.57, -.57, -.57, -.57, -.57, -.57, -.57, -.57, -.57, -.28, -.28, -.28, -.28, -.28, -.28, -.28, -.28, -.28, -.28, -.06, -.06, -.06, -.06, -.06, -.06, -.06, -.06, -.06, -.06, 0.12, 0.12, 0.12, 0.12, 0.12, 0.12, 0.12, 0.12, 0.12, 0.12, 0.28, 0.28, 0.28, 0.28, 0.28, 0.28, 0.28, 0.28, 0.28, 0.28, 0.41, 0.41, 0.41, 0.41, 0.41, 0.41, 0.41, 0.41, 0.41, 0.41, 0.53, 0.53, 0.53, 0.53, 0.53, 0.53, 0.53, 0.53, 0.53, 0.53, 0.63, 0.63, 0.63, 0.63, 0.63, 0.63, 0.63, 0.63, 0.63, 0.63, 0.73, 0.73, 0.73, 0.73, 0.73, 0.73, 0.73, 0.73, 0.73, 0.73, 0.82, 0.82, 0.82, 0.82, 0.82, 0.82, 0.82, 0.82, 0.82, 0.82, -1.67, -1.67, -1.67, -1.67, -1.67, -1.67, -1.67, -.98, -.98, -.98, -.98, -.98, -.98, -.98, -.57, -.57, -.57, -.57, -.57, -.57, -.57, -.28, -.28, -.28, -.28, -.28, -.28, -.28, -.06, -.06, -.06, -.06, -.06, -.06, -.06, 0.12, 0.12, 0.12, 0.12, 0.12, 0.12, 0.12, 0.28, 0.28, 0.28, 0.28, 0.28, 0.28, 0.28, 0.41, 0.41, 0.41, 0.41, 0.41, 0.41, 0.41, 0.53, 0.53, 0.53, 0.53, 0.53, 0.53, 0.53, 0.63, 0.63, 0.63, 0.63, 0.63, 0.63, 0.63, 0.73, 0.73, 0.73, 0.73, 0.73, 0.73, 0.73, 0.82, 0.82, 0.82, 0.82, 0.82, 0.82, 0.82, -1.67, -1.67, -1.67, -1.67, -1.67, -1.67, -.98, -.98, -.98, -.98, -.98, -.98, -.98, -.57, -.57, -.57, -.57, -.57, -.57, -.57, -.28, -.28, -.28, -.28, -.28, -.28, -.28, -.06, -.06, -.06, -.06, -.06, -.06, -.06, 0.12, 0.12, 0.12, 0.12, 0.12, 0.12, 0.12, 0.28, 0.28, 0.28, 0.28, 0.28, 0.28, 0.28, 0.41, 0.41, 0.41, 0.41, 0.41, 0.41, 0.41, 0.53, 0.53, 0.53, 0.53, 0.53, 0.53, 0.53, 0.63, 0.63, 0.63, 0.63, 0.63, 0.63, 0.63, 0.73, 0.73, 0.73, 0.73, 0.73, 0.73, 0.73, 0.82, 0.82, 0.82, 0.82, 0.82, 0.82, 0.82, -1.67, -1.67, -1.67, -.98, -.98, -.98, -.57, -.57, -.57, -.28, -.28, -.28, -.06, -.06, 0.12, 0.12, 0.12, 0.28, 0.28, 0.28, 0.41, 0.41, 0.41, 0.53, 0.53, 0.53, 0.63, 0.63, 0.63, 0.73, 0.73, 0.73, 0.82, 0.82, 0.82, -1.67, -1.67, -1.67, -1.67, -1.67, -1.67, -1.67, -1.67, -1.67, -1.67, -.98, -.98, -.98, -.98, -.98, -.98, -.98, -.98, -.98, -.98, -.57, -.57, -.57, -.57, -.57, -.57, -.57, -.57, -.57, -.57, -.28, -.28, -.28, -.28, -.28, -.28, -.28, -.28, -.28, -.28, -.06, -.06, -.06, -.06, -.06, -.06, -.06, -.06, -.06, -.06, 0.12, 0.12, 0.12, 0.12, 0.12, 0.12, 0.12, 0.12, 0.12, 0.12, 0.28, 0.28, 0.28, 0.28, 0.28, 0.28, 0.28, 0.28, 0.28, 0.28, 0.41, 0.41, 0.41, 0.41, 0.41, 0.41, 0.41, 0.41, 0.41, 0.53, 0.53, 0.53, 0.53, 0.53, 0.53, 0.53, 0.53, 0.53, 0.53, 0.63, 0.63, 0.63, 0.63, 0.63, 0.63, 0.63, 0.63, 0.63, 0.63, 0.73, 0.73, 0.73, 0.73, 0.73, 0.73, 0.73, 0.73, 0.73, 0.73, 0.82, 0.82, 0.82, 0.82, 0.82, 0.82, 0.82, 0.82, 0.82, 0.82), FixFact2 = c(-.46, -.46, -.45, -.43, -.37, -.36, -.17, -.44, -.39, -.36, -.35, -.3, -.24, -.07, -.37, -.35, -.31, -.29, -.2, -.11, 0, -.34, -.29, -.25, -.25, -.19, 0.01, 0.08, -.29, -.23, -.23, -.21, -.18, 0.02, 0.23, -.18, -.16, -.15, -.13, -.09, 0.11, 0.25, -.16, -.1, -.08, -.06, 0.03, 0.14, 0.29, -.07, -.02, -.01, 0.02, 0.08, 0.28, 0.3, 0, 0.14, 0.14, 0.18, 0.24, 0.3, 0.33, 0.01, 0.15, 0.18, 0.24, 0.34, 0.35, 0.4, 0.02, 0.32, 0.35, 0.37, 0.38, 0.42, 0.46, 0.38, 0.39, 0.39, 0.41, 0.44, 0.46, 0.48, -.48, -.47, -.45, -.41, -.41, -.4, -.37, -.45, -.44, -.4, -.35, -.35, -.29, -.26, -.44, -.39, -.34, -.31, -.29, -.2, -.09, -.36, -.29, -.29, -.25, -.18, -.1, 0.07, -.28, -.24, -.23, -.21, -.15, -.07, 0.09, -.26, -.18, -.17, -.15, -.13, 0.13, 0.18, -.16, -.11, -.06, -.05, -.04, 0.19, 0.27, -.07, -.01, 0.04, 0.08, 0.1, 0.23, 0.33, 0.11, 0.16, 0.18, 0.2, 0.24, 0.26, 0.36, 0.24, 0.28, 0.3, 0.3, 0.34, 0.37, 0.4, 0.31, 0.32, 0.35, 0.37, 0.38, 0.42, 0.43, 0.4, 0.41, 0.43, 0.44, 0.44, 0.46, 0.47, -.48, -.47, -.47, -.46, -.45, -.43, -.4, -.37, -.3, -.17, -.45, -.44, -.4, -.39, -.36, -.35, -.29, -.24, -.16, -.07, -.44, -.39, -.35, -.31, -.29, -.29, -.25, -.11, -.11, 0, -.36, -.29, -.25, -.25, -.24, -.1, -.04, 0, 0.01, 0.08, -.24, -.23, -.23, -.21, -.18, -.07, 0.02, 0.03, 0.1, 0.23, -.18, -.17, -.15, -.1, -.09, 0.08, 0.11, 0.12, 0.13, 0.25, -.16, -.09, -.06, -.05, 0.03, 0.13, 0.14, 0.15, 0.19, 0.29, -.07, -.01, 0.08, 0.08, 0.09, 0.16, 0.22, 0.23, 0.28, 0.3, 0.1, 0.14, 0.18, 0.2, 0.23, 0.24, 0.24, 0.26, 0.3, 0.33, 0.11, 0.15, 0.24, 0.27, 0.28, 0.34, 0.34, 0.35, 0.37, 0.4, 0.16, 0.3, 0.32, 0.35, 0.35, 0.37, 0.37, 0.38, 0.42, 0.43, 0.17, 0.39, 0.39, 0.41, 0.43, 0.44, 0.44, 0.46, 0.46, 0.47, -.4, -.36, -.17, -.3, -.26, -.07, -.2, -.2, 0, -.19, -.18, -.18, -.15, 0.02, -.16, -.13, 0.11, -.08, -.04, 0.14, 0.02, 0.1, 0.28, 0.11, 0.14, 0.3, 0.18, 0.3, 0.35, 0.38, 0.38, 0.46, 0.39, 0.43, 0.48, -.47, -.4, -.17, -.39, -.16, -.07, -.29, -.11, 0, -.24, 0, 0.01, -.18, 0.02, 0.03, -.1, 0.08, 0.11, -.09, 0.14, 0.15, 0.09, 0.16, 0.28, 0.1, 0.23, 0.3, 0.11, 0.27, 0.35, 0.16, 0.3, 0.38, 0.17, 0.39, 0.43, -.46, -.45, -.43, -.4, -.37, -.36, -.3, -.44, -.39, -.35, -.3, -.29, -.26, -.24, -.37, -.31, -.29, -.25, -.2, -.2, -.11, -.34, -.29, -.25, -.19, -.18, -.04, 0.08, -.29, -.23, -.21, -.18, -.15, 0.1, 0.23, -.18, -.16, -.15, -.13, -.13, 0.12, 0.25, -.16, -.1, -.08, -.06, -.04, 0.13, 0.29, -.07, -.02, -.01, 0.02, 0.1, 0.22, 0.3, 0, 0.11, 0.14, 0.18, 0.24, 0.24, 0.33, 0.01, 0.18, 0.24, 0.3, 0.34, 0.37, 0.4, 0.02, 0.32, 0.37, 0.38, 0.42, 0.43, 0.46, 0.38, 0.41, 0.43, 0.44, 0.46, 0.47, 0.48, -.48, -.47, -.45, -.45, -.44, -.41, -.4, -.36, -.3, -.45, -.43, -.43, -.4, -.37, -.35, -.3, -.29, -.16, -.07, -.44, -.34, -.34, -.33, -.33, -.32, -.25, -.2, -.11, 0, -.29, -.27, -.23, -.23, -.19, -.16, -.1, -.04, 0, 0.01, -.28, -.2, -.2, -.18, -.16, -.1, -.07, 0.02, 0.03, 0.1, -.26, -.16, -.07, -.07, -.06, 0, 0.08, 0.11, 0.12, 0.13, -.11, -.08, -.05, -.05, -.02, 0.01, 0.13, 0.14, 0.15, 0.19, -.04, -.04, 0.02, 0.04, 0.05, 0.07, 0.16, 0.22, 0.23, 0.28, 0, 0, 0.13, 0.14, 0.16, 0.23, 0.23, 0.24, 0.26, 0.3, 0.16, 0.16, 0.18, 0.2, 0.25, 0.27, 0.28, 0.3, 0.35, 0.37, 0.26, 0.26, 0.28, 0.3, 0.31, 0.32, 0.37, 0.38, 0.43, 0.46, 0.39, 0.4, 0.4, 0.43, 0.45, 0.45, 0.46, 0.47, 0.48, 0.48, -.43, -.41, -.3, -.35, -.29, -.24, -.34, -.25, -.11, -.29, -.04, 0.08, -.28, 0.1, 0.23, -.26, 0.12, 0.25, -.11, 0.13, 0.29, 0.04, 0.22, 0.3, 0.16, 0.24, 0.33, 0.3, 0.34, 0.37, 0.31, 0.37, 0.43, 0.4, 0.46, 0.47, -.48, -.45, -.4, -.44, -.4, -.16, -.34, -.29, -.11, -.25, -.16, 0, -.23, -.1, 0.03, -.18, 0, 0.08, -.16, 0.01, 0.15, -.07, 0.07, 0.16, 0.13, 0.18, 0.23, 0.2, 0.24, 0.27, 0.3, 0.32, 0.32, 0.4, 0.41, 0.43, -.48, -.48, -.47, -.47, -.45, -.41, -.41, -.41, -.36, -.17, -.45, -.43, -.4, -.4, -.39, -.35, -.35, -.3, -.29, -.07, -.44, -.39, -.34, -.34, -.34, -.33, -.29, -.2, -.09, 0, -.36, -.29, -.29, -.24, -.23, -.19, -.16, -.1, 0.01, 0.07, -.28, -.28, -.24, -.2, -.18, -.18, -.1, -.07, 0.02, 0.09, -.26, -.26, -.17, -.16, -.1, -.07, 0, 0.11, 0.13, 0.18, -.11, -.11, -.09, -.08, -.05, -.05, 0.01, 0.14, 0.19, 0.27, -.04, 0.02, 0.04, 0.04, 0.07, 0.08, 0.09, 0.23, 0.28, 0.33, 0, 0.1, 0.13, 0.14, 0.16, 0.16, 0.2, 0.26, 0.3, 0.36, 0.11, 0.16, 0.18, 0.2, 0.28, 0.3, 0.3, 0.34, 0.35, 0.37, 0.16, 0.26, 0.31, 0.31, 0.32, 0.35, 0.37, 0.38, 0.43, 0.46, 0.17, 0.39, 0.4, 0.4, 0.4, 0.44, 0.45, 0.46, 0.47, 0.48, -.47, -.46, -.45, -.44, -.41, -.4, -.36, -.45, -.44, -.39, -.37, -.3, -.29, -.26, -.44, -.37, -.32, -.29, -.2, -.2, -.09, -.34, -.27, -.25, -.19, -.18, -.1, 0.07, -.29, -.23, -.18, -.16, -.15, -.07, 0.09, -.18, -.16, -.13, -.13, -.06, 0.13, 0.18, -.16, -.1, -.08, -.04, -.02, 0.19, 0.27, -.07, -.02, 0.02, 0.05, 0.1, 0.23, 0.33, 0, 0.11, 0.14, 0.18, 0.23, 0.26, 0.36, 0.01, 0.18, 0.24, 0.25, 0.28, 0.3, 0.37, 0.02, 0.28, 0.32, 0.37, 0.38, 0.43, 0.46, 0.38, 0.41, 0.43, 0.46, 0.47, 0.48, 0.48, -.48, -.47, -.46, -.46, -.4, -.3, -.4, -.39, -.39, -.36, -.29, -.29, -.16, -.37, -.35, -.34, -.29, -.25, -.25, -.11, -.34, -.25, -.24, -.16, -.04, -.04, 0, -.29, -.23, -.18, -.1, 0.03, 0.1, 0.1, -.13, -.1, -.09, 0, 0.08, 0.12, 0.12, -.1, -.09, 0.01, 0.03, 0.13, 0.13, 0.15, -.02, 0.07, 0.08, 0.09, 0.16, 0.22, 0.22, 0, 0.1, 0.13, 0.14, 0.23, 0.24, 0.24, 0.01, 0.11, 0.15, 0.2, 0.27, 0.37, 0.37, 0.02, 0.16, 0.3, 0.32, 0.35, 0.43, 0.43, 0.17, 0.38, 0.39, 0.4, 0.43, 0.47, 0.47, -.48, -.46, -.46, -.4, -.39, -.36, -.39, -.37, -.35, -.36, -.34, -.25, -.29, -.23, -.17, -.13, -.09, -.1, -.05, 0.03, -.02, 0.08, 0.08, 0, 0.14, 0.2, 0.01, 0.15, 0.34, 0.02, 0.35, 0.35, 0.38, 0.39, 0.44, -.48, -.48, -.47, -.46, -.45, -.44, -.44, -.41, -.41, -.4, -.45, -.43, -.4, -.4, -.39, -.37, -.37, -.35, -.29, -.16, -.44, -.39, -.39, -.37, -.34, -.33, -.32, -.32, -.11, -.09, -.36, -.36, -.34, -.29, -.27, -.27, -.23, -.1, 0, 0.07, -.29, -.28, -.24, -.24, -.2, -.16, -.16, -.07, 0.03, 0.09, -.26, -.17, -.17, -.13, -.07, -.06, -.06, 0.08, 0.13, 0.18, -.11, -.1, -.05, -.05, -.05, -.02, -.02, 0.15, 0.19, 0.27, -.04, -.02, 0.04, 0.05, 0.05, 0.08, 0.16, 0.23, 0.33, 0, 0, 0.16, 0.2, 0.2, 0.23, 0.23, 0.23, 0.26, 0.36, 0.01, 0.16, 0.25, 0.25, 0.27, 0.28, 0.3, 0.34, 0.34, 0.37, 0.02, 0.26, 0.28, 0.28, 0.3, 0.31, 0.35, 0.35, 0.37, 0.43, 0.38, 0.4, 0.43, 0.44, 0.44, 0.45, 0.46, 0.47, 0.48, 0.48), DV = c(577L, 747L, 942L, 706L, 845L, 804L, 891L, 805L, 643L, 753L, 907L, 1065L, 1062L, 694L, 1121L, 668L, 796L, 714L, 499L, 735L, 544L, 580L, 781L, 674L, 713L, 540L, 810L, 857L, 588L, 624L, 678L, 717L, 496L, 578L, 806L, 612L, 500L, 728L, 571L, 661L, 1412L, 1233L, 667L, 875L, 495L, 728L, 672L, 768L, 780L, 697L, 613L, 675L, 473L, 602L, 654L, 684L, 678L, 531L, 755L, 666L, 810L, 590L, 648L, 548L, 891L, 874L, 599L, 743L, 784L, 699L, 656L, 704L, 698L, 782L, 601L, 743L, 588L, 635L, 688L, 777L, 532L, 656L, 624L, 448L, 870L, 505L, 679L, 688L, 791L, 647L, 746L, 486L, 585L, 658L, 635L, 725L, 779L, 731L, 509L, 605L, 596L, 723L, 635L, 684L, 689L, 638L, 612L, 917L, 582L, 743L, 517L, 730L, 706L, 658L, 717L, 648L, 665L, 498L, 679L, 646L, 592L, 655L, 695L, 630L, 472L, 712L, 622L, 718L, 591L, 580L, 571L, 540L, 648L, 568L, 829L, 638L, 651L, 639L, 497L, 696L, 761L, 582L, 762L, 628L, 666L, 547L, 747L, 723L, 551L, 602L, 818L, 680L, 804L, 653L, 583L, 602L, 774L, 555L, 631L, 751L, 847L, 625L, 514L, 718L, 571L, 698L, 527L, 684L, 962L, 868L, 950L, 605L, 624L, 682L, 582L, 539L, 690L, 899L, 1096L, 678L, 1209L, 782L, 861L, 488L, 590L, 717L, 511L, 1090L, 593L, 861L, 1228L, 455L, 665L, 1010L, 551L, 464L, 682L, 810L, 823L, 455L, 613L, 638L, 694L, 1246L, 570L, 511L, 639L, 599L, 675L, 679L, 683L, 550L, 760L, 751L, 787L, 534L, 555L, 770L, 691L, 547L, 460L, 747L, 740L, 520L, 617L, 619L, 1225L, 675L, 570L, 1207L, 469L, 577L, 989L, 1061L, 633L, 519L, 670L, 870L, 741L, 482L, 596L, 752L, 653L, 606L, 541L, 588L, 634L, 628L, 738L, 687L, 584L, 860L, 569L, 494L, 911L, 803L, 700L, 587L, 692L, 683L, 590L, 574L, 722L, 615L, 670L, 653L, 541L, 603L, 763L, 511L, 625L, 677L, 704L, 651L, 1121L, 611L, 515L, 602L, 964L, 649L, 962L, 623L, 516L, 551L, 892L, 645L, 686L, 554L, 523L, 650L, 897L, 739L, 489L, 1047L, 488L, 542L, 1244L, 652L, 530L, 645L, 488L, 679L, 540L, 453L, 610L, 912L, 479L, 643L, 641L, 430L, 1102L, 603L, 647L, 899L, 700L, 641L, 658L, 486L, 1664L, 564L, 1487L, 506L, 566L, 797L, 2401L, 639L, 507L, 1498L, 685L, 486L, 925L, 587L, 514L, 1995L, 614L, 517L, 679L, 1426L, 462L, 1375L, 678L, 846L, 743L, 1339L, 467L, 1035L, 666L, 501L, 1300L, 611L, 582L, 990L, 739L, 534L, 1341L, 666L, 558L, 629L, 600L, 686L, 796L, 786L, 860L, 892L, 613L, 649L, 579L, 577L, 743L, 646L, 662L, 822L, 765L, 478L, 825L, 660L, 612L, 704L, 820L, 710L, 470L, 619L, 593L, 664L, 794L, 745L, 856L, 551L, 633L, 953L, 614L, 748L, 685L, 636L, 584L, 630L, 781L, 736L, 923L, 642L, 735L, 591L, 556L, 604L, 1004L, 743L, 636L, 731L, 657L, 613L, 672L, 634L, 857L, 553L, 635L, 425L, 785L, 565L, 1083L, 619L, 826L, 623L, 507L, 928L, 1237L, 745L, 710L, 676L, 912L, 493L, 1073L, 728L, 778L, 639L, 714L, 651L, 536L, 589L, 852L, 716L, 619L, 635L, 825L, 898L, 644L, 589L, 695L, 430L, 545L, 633L, 761L, 989L, 516L, 631L, 638L, 864L, 446L, 510L, 956L, 1096L, 638L, 484L, 488L, 473L, 731L, 693L, 694L, 473L, 655L, 751L, 565L, 507L, 553L, 443L, 730L, 730L, 583L, 724L, 582L, 840L, 561L, 510L, 543L, 671L, 742L, 609L, 474L, 654L, 475L, 517L, 609L, 1862L, 495L, 557L, 756L, 767L, 491L, 741L, 585L, 460L, 1724L, 566L, 839L, 576L, 650L, 771L, 488L, 651L, 1294L, 485L, 638L, 529L, 623L, 702L, 621L, 553L, 451L, 620L, 599L, 1299L, 617L, 537L, 643L, 1707L, 639L, 645L, 647L, 559L, 564L, 1479L, 419L, 595L, 748L, 792L, 724L, 620L, 430L, 515L, 567L, 505L, 476L, 1461L, 738L, 812L, 559L, 549L, 633L, 644L, 522L, 477L, 1556L, 748L, 464L, 599L, 608L, 556L, 659L, 924L, 568L, 626L, 522L, 748L, 626L, 1355L, 1597L, 988L, 492L, 446L, 1043L, 522L, 510L, 1345L, 1314L, 521L, 1284L, 907L, 609L, 2335L, 1012L, 537L, 1726L, 541L, 506L, 1343L, 535L, 499L, 1384L, 553L, 557L, 1243L, 547L, 502L, 1265L, 596L, 511L, 2192L, 582L, 932L, 530L, 1447L, 616L, 671L, 563L, 650L, 459L, 1270L, 575L, 1481L, 461L, 606L, 1261L, 520L, 581L, 1043L, 533L, 703L, 1123L, 567L, 570L, 1649L, 489L, 640L, 548L, 749L, 601L, 564L, 1278L, 497L, 569L, 503L, 733L, 398L, 1544L, 603L, 807L, 830L, 625L, 866L, 843L, 595L, 613L, 919L, 848L, 631L, 814L, 809L, 632L, 789L, 670L, 670L, 672L, 1595L, 490L, 595L, 504L, 624L, 518L, 652L, 664L, 717L, 690L, 593L, 531L, 565L, 570L, 745L, 747L, 740L, 1084L, 615L, 808L, 598L, 522L, 566L, 524L, 637L, 1144L, 689L, 631L, 1271L, 589L, 621L, 782L, 521L, 542L, 680L, 597L, 726L, 680L, 738L, 1523L, 633L, 1141L, 500L, 552L, 677L, 842L, 677L, 717L, 751L, 581L, 624L, 651L, 527L, 825L, 664L, 557L, 613L, 652L, 804L, 605L, 584L, 476L, 489L, 697L, 681L, 686L, 845L, 532L, 574L, 792L, 588L, 597L, 505L, 704L, 668L, 633L, 656L, 527L, 527L, 755L, 728L, 550L, 490L, 707L, 652L, 485L, 699L, 1052L, 576L, 620L, 531L, 476L, 1793L, 744L, 520L, 528L, 600L, 851L, 563L, 592L, 608L, 506L, 783L, 641L, 796L, 643L, 977L, 922L, 1399L, 949L, 621L, 605L, 688L, 714L, 996L, 784L, 733L, 648L, 910L, 725L, 506L, 666L, 1039L, 701L, 682L, 769L, 446L, 656L, 739L, 660L, 1110L, 679L, 564L, 651L, 602L, 685L, 956L, 663L, 416L, 672L, 639L, 690L, 856L, 576L, 845L, 469L, 747L, 630L, 647L, 692L, 567L, 655L, 564L, 689L, 649L, 735L, 699L, 651L, 652L, 677L, 773L, 665L, 584L, 712L, 572L, 591L, 882L, 528L, 548L, 625L, 857L, 619L, 675L, 641L, 626L, 586L, 559L, 1025L, 683L, 782L, 963L, 503L, 666L, 807L, 628L, 586L, 791L, 580L, 853L, 766L, 794L, 660L, 1120L, 560L, 642L, 747L, 709L, 834L, 964L, 662L, 647L, 793L, 636L, 567L, 476L, 610L, 675L, 721L, 718L, 553L, 1057L, 464L, 588L, 579L, 652L, 645L, 717L, 704L, 670L, 450L, 731L, 760L, 631L, 766L, 747L, 915L, 782L, 903L, 638L, 660L, 671L, 720L, 535L, 743L, 645L, 884L, 721L, 640L, 739L, 700L, 511L, 849L, 612L, 662L, 664L, 845L, 713L, 442L, 584L, 593L, 551L, 635L, 722L, 528L, 440L, 632L, 585L, 634L, 578L, 721L, 600L, 455L, 574L, 606L, 563L, 632L, 775L, 699L, 513L, 604L, 822L, 405L, 610L, 1671L, 482L, 501L, 996L, 530L, 547L, 733L, 702L, 522L, 533L, 538L, 762L, 529L, 510L, 625L, 1916L, 544L, 401L, 456L, 1599L, 599L, 436L, 780L, 621L, 568L, 1065L, 742L, 497L, 835L, 648L, 461L, 835L, 512L, 522L, 733L, 1004L, 466L, 697L, 756L, 615L, 837L, 959L, 697L, 413L, 464L, 719L, 1443L, 705L, 749L, 805L, 580L, 779L, 556L, 532L, 578L, 735L, 711L, 458L, 601L, 632L, 493L, 693L, 485L, 786L, 703L, 683L, 651L, 798L, 440L, 620L, 618L, 619L, 1202L, 987L, 484L, 585L, 759L, 632L, 674L, 638L, 547L, 715L, 618L, 460L, 521L, 1005L, 536L, 659L, 1373L, 623L, 801L, 686L, 622L, 1347L, 480L, 556L, 639L, 685L, 840L, 555L, 652L, 644L, 494L, 722L, 718L, 814L, 834L, 591L, 515L, 629L, 586L, 509L, 777L, 567L, 488L, 752L, 514L, 765L, 789L, 596L, 711L, 743L, 471L, 640L, 815L, 532L, 583L, 550L, 561L, 921L, 656L, 671L, 450L, 552L, 576L, 536L, 769L, 478L, 576L, 700L, 753L, 762L, 538L, 796L, 513L, 899L, 551L, 560L, 562L, 639L, 795L)), .Names = c("RanFact", "FixFact1", "FixFact2", "DV"), class = "data.frame", row.names = c(NA, -1075L))
# run model & extract coefficients
lmer.example <- lmer(DV ~ FixFact1 + FixFact2 + (FixFact1 + FixFact2 | RanFact), data=example.df)
lmer.example.coefs <- coef(summary(lmer.example))[,1]
# for each individual data point, compute the contribution of each fixed-effect predictor to the DV
example.df[["FixFact1_contribution"]] <- example.df[["FixFact1"]] * lmer.example.coefs[["FixFact1"]]
example.df[["FixFact2_contribution"]] <- example.df[["FixFact2"]] * lmer.example.coefs[["FixFact2"]]
# method 1: to graph each predictor, subtract the contributions of the other fixed effects from the DV
example.df[["DV_minus_non_FixFact1_effects"]] <- example.df[["DV"]] - example.df[["FixFact2_contribution"]]
example.df[["DV_minus_non_FixFact2_effects"]] <- example.df[["DV"]] - example.df[["FixFact1_contribution"]]
# method 2: to graph each predictor, add its contribution + the intercept + residual error
example.df[["DV_resids_plus_intercept"]] <- lmer.example.coefs[["(Intercept)"]] + resid(lmer.example)
example.df[["FixFact1_effect_plus_resids_and_intercept"]] <- example.df[["DV_resids_plus_intercept"]] + example.df[["FixFact1_contribution"]]
example.df[["FixFact2_effect_plus_resids_and_intercept"]] <- example.df[["DV_resids_plus_intercept"]] + example.df[["FixFact2_contribution"]]
# construct and display plots overlaying methods 1 & 2
fixFact1_plots <- ggplot(example.df, aes(x=FixFact1)) + geom_smooth(method="lm", aes(y=DV_minus_non_FixFact1_effects, colour="Method 1")) + geom_smooth(method="lm", aes(y=FixFact1_effect_plus_resids_and_intercept, colour="Method 2")) + ylab("DV") + theme(legend.title = element_blank())
fixFact2_plots <- ggplot(example.df, aes(x=FixFact2)) + geom_smooth(method="lm", aes(y=DV_minus_non_FixFact2_effects, colour="Method 1")) + geom_smooth(method="lm", aes(y=FixFact2_effect_plus_resids_and_intercept, colour="Method 2")) + ylab("DV") + theme(legend.title = element_blank())
grid.arrange(fixFact1_plots, fixFact2_plots)
