5

Several types of t-test exist: standard version of the Student t test, Welch t-test.

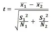
Standard version of the Student t test assumes equal variances for two populations, but the formula for t-test indeed takes account of each standard variances (S1, S2). If equal variances needed to be satisfied in t-test, then we don't write down each variance as S1 or S2, just one like S in the formula. I know I must have something missing for understanding this part.

According to comment @DavidLane in below, denominator uses both sample variances to estimate the population variance. This assumes the two sample variances are estimating the same population variance. It's called a pooled estimate. Therefore, why should we use a pooled estimate rather than an unpooled estimate of standard version of student t-test?

t-test formula

juanli
  • 465
  • 1
    $S_1^2$ and $S_2^2$ are sample variance estimators – Łukasz Grad May 16 '17 at 14:53
  • 2
    There are many versions of a t-test. The formula for $t$ is only half of it: the other half is how you translate that statistic into a p-value. If you would share the other half of the test you have in mind, we could provide more specific answers. (Most likely your question has already been answered here: consider searching this site.) – whuber May 16 '17 at 14:59
  • @whuber I know how to compute p value from statistic t value. But it seems that your comment is not related to my question. – juanli May 16 '17 at 15:16
  • @ŁukaszGrad I know S1^2&S2^2 shown in above formula are actually the sample variances estimators. But that's because population variances not available otherwise they will be used instead of sample variances. From this point of view, if population variance existing, should we assume same for both population? – juanli May 16 '17 at 15:22
  • 4
    Your question is incomplete: there is more than one way to compute the p-value. The methods depend on what assumptions are made, including inequality or not of the variances. See https://en.wikipedia.org/wiki/Welch%27s_t-test, for instance. Which t-test are you asking about? – whuber May 16 '17 at 15:29
  • If you know the variance (which is almost never the case) then I'm pretty sure there is no need to do a T-test – Łukasz Grad May 16 '17 at 15:33
  • 2
    @whuber Now I understand your previous comment. I appreciate it. I'm asking about the general student t-test which assuming equal variance instead of the Welch t-test (I know this test). Here I only want to know a bit deeply about this issue related to student t-test/ – juanli May 16 '17 at 15:33
  • 3
    The denominator uses both sample variances to estimate the population variance. This assumes the two sample variances are estimating the same population variance. It's called a pooled estimate. – David Lane May 16 '17 at 15:35
  • 1
    Amy, the clarification in your latest comment made @David's comment possible (and apt). If you can, please incorporate that information in your question. Then we can look forward to reading answers that explain why one might want to use a pooled variance estimate instead of an unpooled one in the standard version of the Student t test. – whuber May 16 '17 at 15:41
  • @ŁukaszGrad Well, I think not necessarily. Using t-test or not even we know variance still depends on sampling distribution? Not matter what,
    two S in the formula indicates t-test "accept" two different variances, right?
    – juanli May 16 '17 at 15:43
  • What I meant is if we know the variance we can use Z-test and not T-test – Łukasz Grad May 16 '17 at 15:53
  • 2
    Suddenly I am confused, I think the statistic you posted does not assume equal variances (it's the Welch t-test that @whuber linked) Please see the "independent two sample test" section here https://en.wikipedia.org/wiki/Student%27s_t-test. What's more, the same mistake is made here https://stats.stackexchange.com/questions/199207/why-do-t-test-assuming-equal-population-variance-and-t-test-not-assuming-equal-v?rq=1. Maybe someone can clarify all my doubts – Łukasz Grad May 16 '17 at 16:08

1 Answers1

1

As already commented, the formula you present is actually not for the standard $t$-test with equal variances, but for the case when variances are not equal (and sample sizes may differ).

If you are just curious about the formula itself the crucial idea is: the variance of the difference of two random (independent) variables is the sum of the variances of both variables: $s_1^2+s_2^2$. This is why the two variances are added. That you divide by $n$ is because we are dealing with sampling distributions of means.

As far as I understand the logic is:

We have two populations with a mean $\mu_1, \mu_2$ and a variance $\sigma_1^2$, $\sigma_2^2$.

Now we draw many samples from both populations with a specific $n_1, n_2$. The mean values from these samples are calculated for both groups. By doing this with many samples we get two sampling distributions with means $\mu_1, \mu_2$ (same as in the population) but variances of $\sigma_{\bar{x}_1}^2 = \frac{\sigma_{1}^2}{n_1}$ and $\sigma_{\bar{x}_2}^2 = \frac{\sigma_{2}^2}{n_2}$

What we are actually interested in is the difference between these two sampling distributions. The mean value of these two distributions will be $\mu_\mathrm{diff} = \mu_1-\mu_2$ and now the crucial part is that the variance of this distribution $\sigma_\mathrm{diff}^2$ is $\sigma_{\bar{x}_1}^2+\sigma_{\bar{x}_2}^2$

We can estimate it by:

$\frac{\hat{\sigma}_{1}^2}{n_1}+\frac{\hat{\sigma}_{2}^2}{n_2}$

The standard error (as used in your formula) is just the square-root of this.

If variances in the population are equal, the procedure changes a bit (I assume equal sample sizes):

$\sigma_\mathrm{diff}^2$ is $\sigma_{\bar{x}_1}^2+\sigma_{\bar{x}_2}^2 = 2\sigma_{\bar{x}}^2 = 2\frac{\sigma^2}{n}$

The estimate for $\sigma^2$ is just the average of the estimated population variance from both samples (for equal sample sizes):

$\frac{\hat\sigma_{1}^2+\hat\sigma_{2}^2}{2}$

If the sample size varies between the two groups, you would take a weighted average and $\sigma_\mathrm{diff}$ has to be adjusted (see From where term $\left(\frac{1}{n}+\frac{1}{m}\right)$ came in estimated variance of $\bar x - \bar y$).

Note that in this formula also both variances are present, but just to get a good estimate of the actual population variance. If you draw many samples, your variance will differ. The best estimate for the population variance is just a weighted average of the unbiased sample variances. But of course only if we can assume that there is a single population variance (the variance is the same in both groups).

Now, one might wonder why one would make the assumption of equal variances at all, if a formula exists for the case when they are not equal. Very simple answer: if you assume that two groups are coming from the sample population, you need the proper sampling distribution for this case. So you construct a null hypothesis with "equal variances". There is only one population, so there is only one variance. Both samples are used to estimate this one variance. If you do not do this, you will get a wrong p-value.

  • 2
    One reason to assume equal variances is from design of experiments: If we have a properly randomized study, so subjects and controls only differ by result of the randomization, before the experiment they were "the same group", then, under the null hypothesis, not only shoud means be equal, but the complete distributions should be equal, including variances. See https://stats.stackexchange.com/questions/434928/unequal-variance-in-randomized-experiments-to-compare-treatment-with-control/436316#436316 – kjetil b halvorsen Jan 26 '21 at 17:27
  • 1
    Thanks for your comment. You are absolutely right. I wrote the answer two years ago and in the meantime it is hard to believe that I wrote the last paragraph myself :). I will change it now. – Johannes Titz Jan 27 '21 at 14:32