1

The problem is from [ISLR][1] Problem 5.R.R2. The data is here.

Consider the linear regression model of $y$ on $X_1$ and $X_2$. Next, plot the data using matplot(Xy,type="l"). Which of the following do you think is most likely given what you see?

The answer is:

Our estimate of $s.e.(\beta^1$) is too low.

The explanation is:

There is very strong autocorrelation between consecutive rows of the data matrix. Roughly speaking, we have about 10-20 repeats of every data point, so the sample size is in effect much smaller than the number of rows (1000 in this case).

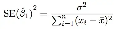
But I could not understand it... According to my opinion, enter image description here, the denominator of this equation (that used to calculate the estimation of standard error for coefficient) indicates no difference whether xi sequence is autocorrelated or not.

8cold8hot
  • 141
  • 1
    What exactly do you not understand? – ilanman Mar 24 '17 at 15:38
  • 1
    They meant to say "very strong positive autocorrelation." One way to understand it is to contemplate what happens when the autocorrelation equals $1$: there, you clearly have just one piece of information because the repeats don't add anything new. – whuber Mar 24 '17 at 15:46
  • Sorry for removing the link of ISLR because the website said that I need 10 reputation to add more than two links.... – 8cold8hot Mar 25 '17 at 06:02

0 Answers0