I'm trying to study fluctuations of a disease's activity over time, for example the f;uctiation in severity of chronic pain (in the absence of obvious triggers).
Individuals generally demonstrate one of a number of trajectories; eg. those with constant severe pain, those with minimal pain, those with flares once/year, those with several flares, pattern-less individuals etc.
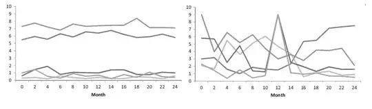
I've noticed several existing studies grouping them subjectively, by appearance (see figure).
Is there an objective / statistical approach to group and/or describe these patterns? (for a novice)
Thank you
