I know there are plenty of questions about the Bias/Variance tradeoff. I've been trying to derive it myself to build some intuition.
I looked at the Wikipedia page, and I saw this: 
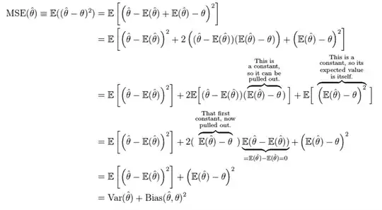
Notice where it says "This is a constant...". Which part of the expression E[theta-hat] - theta is constant?
Let's use linear regression as an example, fitting y=mx+b. After fitting a line, the expected value of y at a given value x is constant, sure, because it is just plugging in x into our linear model. But are we talking about the expected value of our model at a particular x, or the expected value of all of the y's predicted by our model (i.e. the sample mean of the y's, y-bar)?
If it is the latter, then this doesn't seem like a constant value to me. The difference between the true model, and the model estimate will vary depending on x. In linear regression, if the difference didn't vary, then the true linear relationship, and our estimate must be parallel.
What are we calling "constant", e.g. in linear regression? I chose linear regression for its ease of illustrating these concepts.
y=mx+bfrom which the values were generated? If so, then I don't understand what we mean by "constant", unless the slope is zero – makansij Apr 03 '16 at 23:04mbeing our parameter of interest for a bit. So, then why would our estimate ofmever vary? I understand that the expected value of anything is a constant of course. But, in this case it actually seems like there is only one value formin our model. – makansij Apr 04 '16 at 00:57mwould be the average of all of estimates during our estimation procedure? And, since ordinary least squares is just a convex optimization problem, there is only one minimum, so there is only one estimate in this case? – makansij Apr 04 '16 at 03:55