5

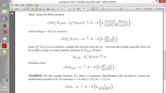
My question is related to the proof below. Why can we say that $F^{-1}(Y_n(x))=X_{[np]}$? I would like to understand better the reason for that.

Any help would be appreciated.

enter image description here

enter image description here

I've also asked here.I wasn't sure which one was better suited.

  • According to my research, the text comes from here: Stephens, David. MATH 556 Mathematical Statistics 1. Department of Mathematics and Statistics. McGill University, Montreal. https://www.mcgill.ca/study/2022-2023/courses/math-556 Lien – Michael Baudin Nov 19 '22 at 17:00
  • The document does not state that the sample quantile is equal to $F^{-1}\left(\widehat{F}n \left(\alpha\right)\right)$ (because that is wrong). It states that $F^{-1}\left(\widehat{F}_n \left(\alpha\right)\right) - u{(\lceil n \alpha\rceil)} \xrightarrow[]{a.s.} 0$, which is different. – Michael Baudin Nov 20 '22 at 10:32
  • Since this discussion was confusing, I create a brand new Q&A at https://stats.stackexchange.com/questions/596554/almost-sure-convergence-of-the-difference-of-two-quantiles/596555. I hope that it clarifies some points. – Michael Baudin Nov 22 '22 at 11:11
  • @MichaelBaudin The part confuses me is why almost sure convergence to 0 of the difference between the sample quantile and the expression implies asymptotic normal? Shouldn’t we multiply $\sqrt{n}$? I.e convergence is at the rate of $1/\sqrt{n}$ – Zorualyh Mar 01 '23 at 16:18

1 Answers1

3

Quantiles are values of the support of a random variable that partition probability mass in equal lumps. So, say, the 4-quantiles (called the "quartile"), partition probability mass in four areas each holding 25% of probability mass. Note again: they are the cut-off points, not the intervals created thus, but it is common usage to say "1st quartile" and refer to the interval defined by the quantile.

Which are those values can be calculated from the inverse CDF. For example,

$$F_X(\tilde x) = \frac 14 \implies \tilde x = F^{-1}_X(1/4)$$

and $\tilde x$ is the 1st quartile (or the 1st 4-quantile).

Moving now to a random sample of realizations of size $n$, we will collect in the interval defined by the first empirical quartile the smallest $\lceil n/4 \rceil$ realizations in it (because the sample is i.i.d. and so each realization emerged with equal probability).

We also have the concept of order-statistics : say $X_{(5)}$ or better $X_{(5:n)}$ is the fifth largest value counting from the smallest upwards, in a sample of size $n$.

We can see that sample order-statistics can be linked to the concept of quantiles: as said the smallest $\lceil n/4\rceil$ realizations will be included in the (area defined by the) 1st quartile. But then, the order-statistic $X_{\lceil n/4\rceil:n}$ is the largest realization included in it. And as such, it is the empirical cut-off point, the 1st quartile proper.
In symbols

$$X_{\lceil n/4\rceil:n} = \hat F^{-1}_X(1/4)$$

Note the appearance of $1/4$ in both sides. Generalize this to a value $0<q<1$ and write

$$X_{\lceil nq\rceil:n} = \hat F^{-1}_X(q)$$

Note that $q$ is an arbitrary number in $(0,1)$, not some "true probability"

Now we do have

$$\hat F_X(\tilde x) = Y_n(\tilde x) = \hat p \implies \tilde x = \hat F_X^{-1}[Y_n(\tilde x)] =\hat F_X^{-1}(\hat p) $$

and I believe the connection is now clear.

  • The extreme value theory tells us that the asymptotic distribution is the GEV, so why do we get normal distribution here? – Confounded May 14 '19 at 10:04
  • @Confounded For which quantiles? For example, why the asymptotic distribution of the (centered and scaled) sample median (from a continuous distribution), would be GEV and not Normal? Maybe you had in mind minimum-maximum order statistics? – Alecos Papadopoulos May 14 '19 at 17:31
  • Sorry for not making myself clear, I had in mind "extreme" quantiles, e.g. 99%. What would be the asymptotic distribution for these? In the above derivation for asymptotic normal, there doesn't seem to be any restriction on the level of the quantile, which seems to suggest that the results also applies to the extreme levels. But how do we then reconcile this with the EVT? Thank you – Confounded May 15 '19 at 08:56
  • The answer is clear, but this is not what is stated in the proof above. The answer from @AlecosPapadopoulos involves the empirical CDF $\hat{F}_X$ while the proof involves the CDF $F_X$: this is a big difference. – Michael Baudin Nov 19 '22 at 17:05