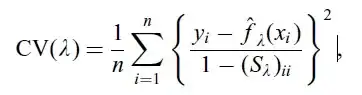
I am trying to implement cross validation to find the apropriate smoothing parameter value for smoothing spline I am able to implement the leave out one , in which one data point is left out , then it is prdicted and RMS is calculated.
the other method is working with an influence martix.
Whose S(i,i) elements are considered, according to the formula.
I am not able to understand , what defines the nxn influence matrix.
Is it the predicted values influence matrix , or data on x or y axis , or somthingelse.

I would like to know what is S matrix , and how is it derived. image is from here