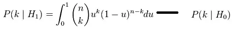
From Wiki:
where
, k is binomially distributed, and I'm not sure about u.
- I'm thinking that the second line should be:
I mean, if we let X represent the toss of a die, then $P(X = 1, 2, 3, 4, 5) = P(X = 1, 2, 3, 4, 5, 6) - P(X = 6)$ right? Why don't we subtract out $P(k | H_0)$?
Actually, I seem to recall one point doesn't affect value of integral at all, so long as integrand is defined or continuous at that point or something like that, something like:
$\int_{[a,b]} f(x) dx = \int_{[a,b] \setminus \{c\}} f(x) dx \ \forall c \ \in [a,b]$ for some suitable f.
I think that's because $\int_{\{c\}} f(x) dx = 0$.
Then again, $P(k | H_0) = 0$ voids the result at the end of the section.
Is it that $\int_{\{c\}} f(x) dx = 0$ doesn't hold here because we are using Lebesgue integration over counting measure or something? So $\int_{\{0.5\}} \binom{n}{k} (u)^k (1-u)^k du = \binom{n}{k} (0.5)^k (1-0.5)^k du$ kind of like here?


