Not going into unnecessary complications about this concept, but in the most simple terms here is how one can think of and relate functional and geometric margin.
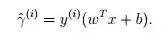
Think of functional margin -- represented as ̂, as a measure of correctness of a classification for a data unit. For a data unit x with parameters w and b and given class y = 1, the functional margin is 1 only when y and (wx + b) are both of the same sign - which is to say are correctly classified.

But we do not just rely on if we are correct or not in this classification. We need to know how correct we are, or what is the degree of confidence that we have in this classification. For this we need a different measure, and this is called geometric margin -- represented as , and it can be expressed as below:
= ̂ / ||||
So, geometric margin is a scaled version of functional margin ̂. If ||w|| == 1, then the geometric margin is same as functional margin - which is to say we are as confident in the correctness of this classification as we are correct in classifying a data unit to a particular class.
This scaling by ||w|| gives us the measure of confidence in our correctness. And we always try to maximise this confidence in our correctness.
Functional margin is like a binary valued or boolean valued variable: if we have correctly classified a particular data unit or not. So, this cannot be maximised. However, geometric margin for the same data unit gives a magnitude to our confidence, and tells us how correct we are.So, this we can maximise.
And we aim for larger margin through the means of geometric margin because the wider the margin the more is the confidence in our classification.
As an analogy, say a wider road (larger margin => higher geometric margin) gives higher confidence to drive must faster as it lessens the chance of hitting any pedestrian or trees (our data units in the training set), but on the narrower road (smaller margin => smaller geometric margin), one has to be a lot more cautious to not hit (lesser confidence) any pedestrian or trees. So, we always desire wider roads (larger margin), and that's why we aim to maximise it by maximising our geometric margin.