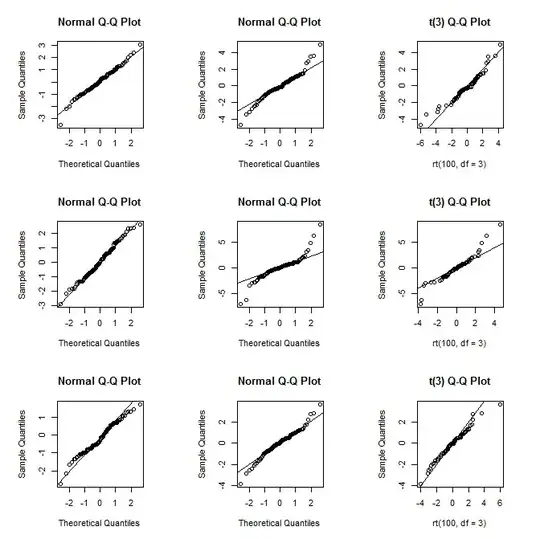
To study the quantile-quantile plot, I used the following codes (modified from here). The first group of pictures is derived from 100 data points while the second from 10000.
# Q-Q plots
par(mfrow=c(1,3), pty="s")
# create sample data
y <- rnorm(100)
x <- rt(100, df=3) # Heavy-Tail
# normal fit
qqnorm(y); qqline(y)
qqnorm(x); qqline(x)
# t(3Df) fit
qqplot(rt(100,df=3), x, main="t(3) Q-Q Plot", ylab="Sample Quantiles")
abline(0,1)

When the sample size is small (100), the second and the third graph are similar and hence it is very difficult to make decision.

However, when the sample size is large (10000) the second and the third graph are very different and hence it is very easy to make conclusion.
As the two groups of pictures show, sample size clearly affects one's judgement. In practice, the sample size is frequently given. Therefore, my question is as follows. What to do, when we are in situation one, where sample size is small. Is there any more effective diagnostic tool to use? Thank you!

