I have data for which I calculated the Spearman correlation and want to visualize it for a publication. The dependent variable is ranked, the independet variable is not. What I want to visualize is more the general trend than the actual slope, so I ranked the independent and applied the Spearman correlation/regression. But just when I plotted my data and was about to insert it into my manuscript, I stumbled upon this statement (on this website):
You will almost never use a regression line for either description or prediction when you do Spearman rank correlation, so don't calculate the equivalent of a regression line.
and later
You can graph Spearman rank correlation data the same way you would for a linear regression or correlation. Don't put a regression line on the graph, however; it would be misleading to put a linear regression line on a graph when you've analyzed it with rank correlation.
The thing is, the regression lines are not that different from when I do not rank the independent and calculate the Pearson correlation. The trend is the same, but due to the exorbitant fees for colored graphics in journals I went with monochrome representation and the actual data points are overlapping so much that it is not recognizable.
I could work my way around this, of course, by making two different plots: One for the data points (ranked) and one for the regression line (unranked), but if it turns out that the source I quoted is wrong or the issue not that problematic in my case, it would make my life easier. (I also saw this question, but it didn't help me.)
Edit for additional info:
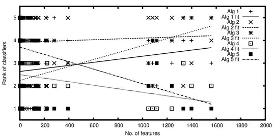
The independent variable on the x-axis represents the number of features and the dependent variable on the y-axis represents the rank if classification algorithms when compared in their performance. Now I have some algorithms that are comparable on average, but what I want to say with my plot is something like: "While classifier A gets better the more features are present, classifier B is better when less features are present"
Edit 2 to include my plots:
Ranks of algorithms plotted versus the number of features

Ranks of algorithms plotted versus the ranked number of features

So, to repeat the question from the title:
Is it okay to plot a regression line for ranked data of a Spearman correlation/regression?

