I've learned that over-fitting can be detected by plotting the training error and the testing error versus the epochs. Like in:

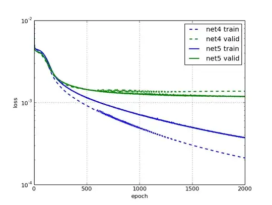
I've been reading this blogpost where they say the neural network, net5 is over-fitting and they provide this figure:

Which is strange to me, since the validation and training error of net5 keeps dropping (but slowly).
Why would they claim it is over fitting ? Is it because the validation error is stagnating ?