With a hard knee you'd have an output as
output=Threshold+(Input-Threshold)/Ratio
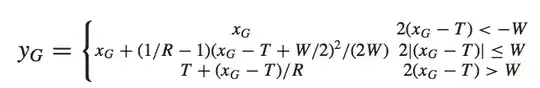
Now, I found this pdf http://redmine.jamoma.org/attachments/download/175/JAES_V60_6_PG399.pdf
which lists 
as a method to find the output given the knee, threshold, and input, so I tried this and here's what I got:

Which was supposed to be an example with a threshold of .5, knee of .1, and ratio of 3, yet the function isn't even continuous.
Is the equation from that pdf incorrect or am I interpreting this incorrectly?