I am studying robotics, and I am trying to write a Matlab code for computing the derivative of the jacobian matrix.
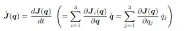
The formula for computing the derivative of the Jacobian is the following:
so it has been done a derivation with respect to time and it has been applied the chain rule.
I know how to do this computation by hand, but it takes really a long time if the Jacobian is large, and moreover if then I have to do some calculations with the derivative of the Jacobian it is hard without the code.
I have found this question here on Stack Exchange Robotics where a code has been posted:
Derivative of a Jacobian matrix
which is similar(it is the same, I copied it but I changed T with q) to:
clear all
clc
syms q1 q2 q3 t;
q1(t) = symfun(sym('q1(t)'), t);
q2(t) = symfun(sym('q2(t)'), t);
q3(t) = symfun(sym('q3(t)'), t);
J11 = -sin(q1(t))(a3cos(q2(t) + q3(t)) + a2*cos(q2(t)))
dJ11dt = diff(J11,t)
but if I use this code I get an error which says:
Error using sym>convertChar (line 1537) Character vectors and strings in the first argument can only specify a variable or number. To evaluate character vectors and strings representing symbolic expressions, use 'str2sym'.
can somebody please help me?

Hi, J.D., I am sorry that I have to reply by 'answer' instead of 'comment' because I have not enough reputations, would please tell me which paper does this formula come from?
Thanks in advance!
– BrP Al
Dec 09 '20 at 12:10