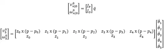
I am modelling an articulated robot arm with 5 degrees-of-freedom from igus (igus Robolink).
I deduced its direct kinematics equations using Denavit-Hartenberg parameters and homogeneous transformation matrices. I also calculated its Jacobian and inverse kinematics problem of position.
Now I am bit stuck with the problem of inverse velocity. Since the Jacobian is a [6x5] matrix and can't be inverted directly, could you tell me any way to invert it, i.e. Pseudo-Inverse matrix? Or is there a better way to solve inverse velocity problems for 5 DOF robots rather than with the Jacobian?
