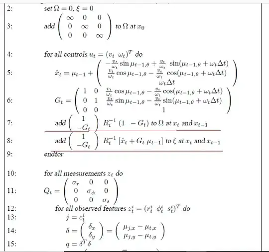
I am trying to implement GraphSLAM from Sebastian Thrun's paper, The GraphSLAM Algorithm with Applications to Large-Scale Mapping of Urban Structures.
When I compute the inverse of my information matrix, $\Omega^{-1}$, I get an error, Matrix is Singular, because $\Omega$ is singular. How could I avoid matrix singularity when implementing GraphSLAM?
Please don't suggest me pinv() method it cannot give me actual answer.
I had considered using a pseudo-inverse, but, instead, I want to prevent $\Omega$ from becoming singular so that I can compute the exact inverse.
Below is where $\Omega$ is computed (see line 7), from Table 2. Calculation of and ξ in GraphSLAM:
