After writing my own disassembler, I am now looking to making its assembly listing more human readable, e.g. from an (artificial) example
push ebp
mov ebp, esp
sub esp, 10h
mov eax, dword ptr [55431824h]
imul eax, dword ptr [ebp+8]
add eax, dword ptr [ebp+0ch]
mov dword ptr [ebp-4], eax
mov eax, dword ptr [ebp-4]
leave
ret 10h
via (> marks an auto-recognized prologue/epilogue):
>push ebp
>mov ebp, esp
>sub esp, 10h
mov eax, dword ptr [_global_55431824]
imul eax, dword ptr [arg_0]
add eax, dword ptr [arg_4]
mov dword ptr [local_4], eax
mov eax, dword ptr [local_4]
>leave
>ret 10h
towards
eax = 10
eax *= arg_0
eax += arg_4
local_4 = eax
eax = local_4
return
At this point, each pseudo instruction is still tied to its original disassembled representation. When printing out, I can scan for certain sequences and so I replace the first two lines with
eax = 10 * arg_0
and then just skip printing the next line. However, there is a limit to how far I can get with that. Concatenating the next operation, which would lead to
eax = 10 * arg_0 + arg_4
requires to look ahead two instructions, and would only work for this specific combination of mov, imul, and add, while assuring the same destination register is still targeted and the intermediate instructions have no lasting effect on other registers.
The goal is to end up with something like this:
local_4 = 10 * arg_0 + arg_4
eax = local_4
return
where obviously eax is specifically assigned a value before a return, so the last line can be
return eax
and finally the entire construction can be collapsed into
return 10 * arg_0 + arg_4
(which is very close to what I started with in the original trivial C program). I am struggling with the internal representation of composite lines such as the last one. The otherwise very reliable decompiler page backerstreet.com/creating_statements casually switches between raw assembler and C-like compound statements:
if(!expr1 && !expr2)
...
without explaining how this intermediate step is stored in memory and can create the output string.
What type of intermediate storage form should I be looking at, which (a) can be constructed from the original disassembled instructions, (b) can have its elements combined and rearranged, and (c) can be translated into human-readable output such as the last line?
It may be worth mentioning that I am not aiming to create the Definitive Universal Decompiler :) My test input was compiled with an ancient version (most likely pre-1993) of Delphi Pascal, but while its assembly is not really optimized and fairly readable to begin with, I'd still like to go the extra mile and make my computer do what it does best and make it yet easier to understand the code.
A longer real world example
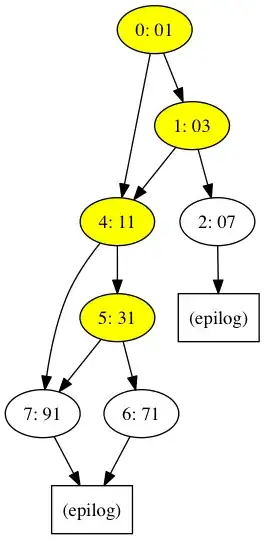
Below is some actual disassembly. The basic block number is followed by a dominator bit set (the loops hex number; I generate them but have not used that data yet). The ENTRY and EXIT numbers are to basic blocks again and used to generate a .dot view of the function.
; ## BLOCK 0; loops: 01; EXIT to 1, 4
401966A8 ( 0) 8B 15 42201590 mov edx,dword ptr [42201590]
401966AE ( 0) 8B 12 mov edx,dword ptr [edx]
401966B0 ( 0) 80 BA 39 01 00 00 02 cmp byte ptr [edx+139h],2
401966B7 ( 0) 75 11 jnz label_4
; ## BLOCK 1; loops: 03; ENTER from 0; EXIT to 2, 4
401966B9 ( 0) 83 78 24 02 cmp dword ptr [eax+24h],2
401966BD ( 0) 7D 0B jge label_4
; ## BLOCK 2; loops: 07; ENTER from 1; EXIT to 3=RET
401966BF ( 0) BA 02 00 00 00 mov edx,2
401966C4 ( 0) 2B 50 24 sub edx,dword ptr [eax+24h]
401966C7 ( 0) 8B C2 mov eax,edx
; ## BLOCK 3 (epilog); loops: 0F; ENTER from 2
401966C9 >C3 retn
; ## BLOCK 4; loops: 11; ENTER from 0, 1; EXIT to 5, 7
label_4:
401966CA ( 0) 8B 15 42201590 mov edx,dword ptr [42201590]
401966D0 ( 0) 8B 12 mov edx,dword ptr [edx]
401966D2 ( 0) 80 BA 39 01 00 00 01 cmp byte ptr [edx+139h],1
401966D9 ( 0) 75 0D jnz label_7
; ## BLOCK 5; loops: 31; ENTER from 4; EXIT to 6, 7
401966DB ( 0) 83 78 24 00 cmp dword ptr [eax+24h],0
401966DF ( 0) 75 07 jnz label_7
; ## BLOCK 6; loops: 71; ENTER from 5; EXIT to 8=RET
401966E1 ( 0) B8 01 00 00 00 mov eax,1
401966E6 ( 0) EB 02 jmp label_8
; ## BLOCK 7; loops: 91; ENTER from 4, 5; EXIT to 8=RET
label_7:
401966E8 ( 0) 33 C0 xor eax,eax
; ## BLOCK 8 (epilog); loops: 0111; ENTER from 6, 7
label_8:
401966EA >C3 retn
401966EB align 4
This is the .dot image; clear ifs are yellow, and the nodes contain their dominator bit sets so I can try and make sense of them (a TO-DO as yet). This explains the flow but you cannot see how much code each node represents.

The disassembly gets parsed into the following pseudo-code. Some notes are manually added.
; #### PARSED
401966A8 ( 0) edx = Main.UnitList@20551314 ;
401966AE ( 0) edx = (dword)[edx] ;
401966B0 ( 0) if ((byte)[edx + 139h] != 2) goto label_4 ;
401966B9 ( 0) if ((dword)[eax + 24h] >= 2) goto label_4 ;
401966BF ( 0) edx = 2 ;
401966C4 ( 0) edx -= (dword)[eax + 24h] ;
401966C7 ( 0) return edx ; MOV EAX,.. where an exit block follows
return ; .. and this line is generated by the actual exit block
label_4:
401966CA ( 0) edx = Main.UnitList@20551314 ;
401966D0 ( 0) edx = (dword)[edx] ;
401966D2 ( 0) if ((byte)[edx + 139h] != 1) goto label_7 ;
401966DB ( 0) if ((dword)[eax + 24h] != 0) goto label_7 ;
401966E1 ( 0) eax = 1 ;
401966E6 ( 0) return ; this was a jump-to-exit-block, so missed
label_7:
401966E8 ( 0) eax = 0 ; this was a XOR, not a MOV, so missed
label_8:
return ;
The loss in verbosity is already worth the effort: from 21 lines of code to 16 lines, even though the lookahead to check if EAX got written to right before a RET failed twice.
Yet, it is obvious that the two successive ifs at 401966B0 can be combined into a single one, with an OR. Inverting the condition, that whole block can be a single if and braced up to the return, removing label_4.
The manipulation of edx from 401966BF onwards can be concatenated into a single return statement.
Also, the if conditions at 401966D2 can be combined into a single one and put inside an if block. Since there is a return at its end, an else is not necessary there. Manually reconstructed:
401966A8 ( 0) edx = Main.UnitList@20551314 ;
401966AE ( 0) edx = (dword)[edx] ;
401966B0 ( 0) if ((byte)[edx + 139h] == 2 &&
401966B9 ( 0) (dword)[eax + 24h] < 2)
{
401966BF ( 0) return 2 - (dword)[eax + 24h] ;
}
401966CA ( 0) edx = Main.UnitList@20551314 ;
401966D0 ( 0) edx = (dword)[edx] ;
401966D2 ( 0) if ((byte)[edx + 139h] == 1 &&
401966DB ( 0) (dword)[eax + 24h] == 0)
{
401966E1 ( 0) return 1 ;
}
401966E8 ( 0) return 0 ;
reducing the original 21 lines to a mere 11. Furthermore, register value propagation resolves the references to the global class Main.UnitList. I manually created names for its elements; 401966A8 and forwards collapses into
401966B0 ( 0) if (Main.UnitList.flag == 2 &&
401966B9 ( 0) Main.UnitList.count < 2)
which makes the code practically readable.
Accessing eax before it gets written is not an error here. The function is a class function, and eax points to a class instance, so (dword)[eax + 24h] reads a data member of the structure. Main.UnitList is a pointer to a globally declared class instance, since it points into the BSS.

