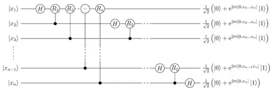
The Quantum Fourier Transform from Nielsen and Chuang chapter 5 is pictured here:

In the textbook the author refers to "swap gates at the end of the circuit which reverse the order of the qubits".
My questions are:
Is it possible to transform the circuit shown in some way to avoid the need for any SWAP gates while still using little-endian conventions. Naively, I might think I could "flip the circuit upside down" so that the first operation is H(n), then R2 on qubit n controlled by qubit (n-1), and so on...
The Wikipedia page on QFTs makes no reference to reordering or SWAP gates - does this imply a different bitstring convention between the sources, or an error in one of the sources?




