2

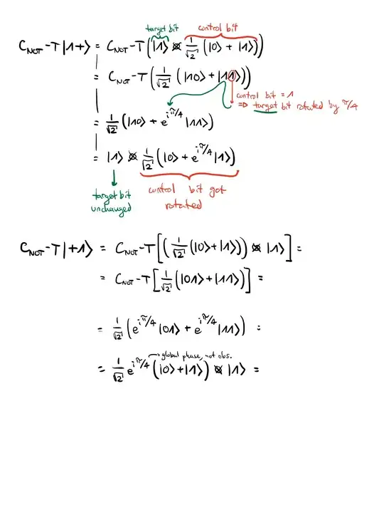
I am reading through the Phase Kickback chapter of the IBM online textbook about quantum computation. It is stated that, when applying any controlled Z-rotation, the concept of test and control qubit is lost. To show this phenomenon, the effect of a Controlled-T gate (Z-rotation of $\pi/4$) on the state $|1+ \rangle$ is demonstrated mathematically. The formal control qubit would be $|+\rangle$ while the target qubit would be $|1\rangle$. As I show in the image, the "target" qubit stays unchanged, while the "control" qubit has got rotated (it has now a relative phase).

I then wanted to prove myself that the same result would be delivered when applying the Controlled-T gate on the state $|+1 \rangle$, which physically would mean to swap the two qubits with respect to the former situation. I would then expect the same result as above, but with the two qubits "flipped" on opposite sides of the tensor product. In this case, however, I get a different result (a global phase). I think that I cannot commutate the tensor product, because this would mean physically swapping the two qubits, right? Can somebody explain to me the conceptual mistake that I am doing?

symmetry_of_controlled_t_gates

Davit Khachatryan
  • 4,301
  • 1
  • 10
  • 21
gionti
  • 23
  • 2
  • 1
    In your penultimate line, why have you put $e^{i\pi/4}$ in the $|01\rangle$ term? – DaftWullie Sep 21 '20 at 14:59
  • 1
    Also - would you be able to transcribe your notes to mathjax? Lovely handwriting, we just tend to prefer LaTeX to images of math – C. Kang Sep 21 '20 at 15:11
  • @DaftWullie because I thought that, for the controlled-T operation, the only condition needed to be fulfilled is that the "control" qubit should be in the $|1\rangle$ state, but not necessary also for the "target" qubit. The answer of Davit shows it correctly. – gionti Sep 22 '20 at 10:41
  • Yes, exactly - if the control is in $|1\rangle$, apply the $T$ gate to the target. That's different from just applying a phase. – DaftWullie Sep 22 '20 at 11:17

1 Answers1

0

When we apply a phase gate, a relative phase is added (this is the definition that I will use in this answer for the phase gate). In the Qiskit's textbook (and in the textbook by M. Nielsen and I. Chuang) $T$ is defined as a phase gate $P(\frac{\pi}{4})$:

$$ P |\psi \rangle = P (\alpha |0\rangle + \beta |1\rangle) = \alpha |0\rangle + e^{i\varphi}\beta |1\rangle \\ P(\varphi) = \begin{pmatrix} 1&0 \\ 0&e^{i \phi} \end{pmatrix} \qquad T = P(\frac{\pi}{4}) = \begin{pmatrix} 1&0 \\ 0&e^{i \frac{\pi}{4}} \end{pmatrix} $$

where $P$ is the phase gate, $\alpha$ and $\beta$ are some initial amplitudes, $\varphi$ is the phase defined by the $P$ gate. Note that only $|1\rangle$ in the superposition state has obtained the phase. The same works for the controlled phase gate: only $|11\rangle$ obtains a phase because the control qubit should be $|1\rangle$ and the target qubit also should be $|1\rangle$:

$$CP_{2 \rightarrow 1} |+1 \rangle = CP_{2 \rightarrow 1} \frac{1}{\sqrt{2}} (|01\rangle + |11\rangle) = \\ = \frac{1}{\sqrt{2}} (|01\rangle + e^{i \varphi}|11\rangle) = \frac{1}{\sqrt{2}} (|0\rangle + e^{i \varphi}|1\rangle) \otimes |1\rangle$$

where $CP$ is the controlled phase gate, $2 \rightarrow 1$ subscript denotes that the $CP$ gate is controlled by the second qubit. More general proof for $CP_{1 \rightarrow 2} = CP_{2 \rightarrow 1}$ can be derived by using matrix representation of the $CP$ gate. This proof is similar to the proof for $CZ_{1 \rightarrow 2} = CZ_{2 \rightarrow 1}$ that can be found in this answer.

$$CP_{1 \rightarrow 2} = |0\rangle \langle 0| \otimes I + |1\rangle \langle 1| \otimes P = \\ = \begin{pmatrix} 1&0&0&0 \\ 0&1&0&0 \\ 0&0&1&0 \\ 0&0&0&e^{i \varphi} \\ \end{pmatrix} = \\ =I \otimes |0\rangle \langle 0| + P \otimes |1\rangle \langle 1| = CP_{2 \rightarrow 1}$$


Side note about why the "symmetry" is not true for controlled $R_z$ gate in contrast to controlled $P$ gate:

If for the general case instead of $P(\varphi)$ we will use $R_z(\varphi)$ gate then we will have a different result:

$$CRZ_{1 \rightarrow 2} = |0\rangle \langle 0| \otimes I + |1\rangle \langle 1| \otimes R_z = \begin{pmatrix} 1&0&0&0 \\ 0&1&0&0 \\ 0&0&e^{-i \frac{\varphi}{2}}&0 \\ 0&0&0&e^{i \frac{\varphi}{2}} \\ \end{pmatrix}\\ CRZ_{2 \rightarrow 1} = I \otimes |0\rangle \langle 0| + R_z \otimes |1\rangle \langle 1| = \begin{pmatrix} 1&0&0&0 \\ 0&e^{-i \frac{\varphi}{2}}&0&0 \\ 0&0&1&0 \\ 0&0&0&e^{i \frac{\varphi}{2}} \\ \end{pmatrix}$$

where $R_z(\varphi) = \begin{pmatrix} e^{-i \frac{\varphi}{2}}&0 \\ 0&e^{i \frac{\varphi}{2}} \end{pmatrix}$. So $CRZ_{1 \rightarrow 2} \ne CRZ_{2 \rightarrow 1}$. This answer also might be relevant where the difference between the controlled versions of $R_z$ and $U1 = P$ is discussed.

Davit Khachatryan
  • 4,301
  • 1
  • 10
  • 21