Here it is explained how to define a custom non-parametric gate in Qiskit. How do I define a new parametric gate?
For example, I want to have the $CCR_y$ gate defined as
in order to use it as
qc.ccry(theta, c1, c2, targ)
Is this possible?
Here it is explained how to define a custom non-parametric gate in Qiskit. How do I define a new parametric gate?
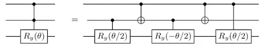
For example, I want to have the $CCR_y$ gate defined as
in order to use it as
qc.ccry(theta, c1, c2, targ)
Is this possible?
Although it might not be exactly what you are looking for, you can still use the method you would to create the non-parametric custom gate. You would just encapsulate it into a function that takes in the parameter and creates the custom gate:
def add_ccry(theta):
qc = QuantumCircuit(3)
qc.cry(theta/2, 1, 2)
qc.cx(0, 1)
qc.cry(-theta/2, 1, 2)
qc.cx(0, 1)
qc.cry(theta/2, 0, 2)
gate = qc.to_gate()
return gate
qc = QuantumCircuit(3, 3)
qc.append(add_ccry(np.pi), [0, 1, 2]) # As an example. Theta will be numpy.pi