The model
In a Black-Scholes world, we have under $\mathbb{P}$
\begin{align*}
\text{d}S_t &= \mu S_t\text{d}t+\sigma S_t\text{d}W_t^\mathbb P \hspace{1.7cm} \implies\mathbb{E}^\mathbb{P}[S_t]=S_0e^{\mu t}, \\
\text{d}M_t &= -r M_t\text{d}t+\varphi M_t\text{d}W_t^\mathbb P \hspace{1cm} \implies\mathbb{E}^\mathbb{P}[M_t]=e^{-r t}, \\
\text{d}M_tS_t &= (\varphi+\sigma) M_tS_t\text{d}W_t^\mathbb P \hspace{1.6cm} \implies\mathbb{E}^\mathbb{P}[M_tS_t]=S_0,
\end{align*}
where $M_0=1$, $\text{d}B_t=rB_t\text{d}t$ and $\varphi=-\frac{\mu-r}{\sigma}$ is the Girsanov kernel.
Under $\mathbb{Q}$, we have
\begin{align*}
\text{d}S_t &= \mu S_t\text{d}t+\sigma S_t\text{d}W_t^\mathbb Q \hspace{1.7cm} \implies\mathbb{E}^\mathbb{Q}[S_t]=S_0e^{r t}, \\
\text{d}\frac{S_t}{B_t} &= \sigma \frac{S_t}{B_t}\text{d}W_t^\mathbb Q \hspace{3.2cm} \implies\mathbb{E}^\mathbb{Q}\left[\frac{S_t}{B_t}\right]=S_0.
\end{align*}
The densities
In general, $\text{d}X_t=mX_t\text{d}t+sX_t\text{d}Z_t$ with $X_0=x_0$ gives rise to a process where $X_t$ is log-normally distributed for every $t$ with probability density function
\begin{align*}
f_{X_t}(x)=\frac{1}{\sqrt{2\pi}x\sqrt{s^2t}}\exp\left(-\frac{1}{2}\left(\frac{\ln(x/x_0)-\left(m-\frac{1}{2}s^2\right)t}{\sqrt{s^2t}}\right)^2\right).
\end{align*}
Plots
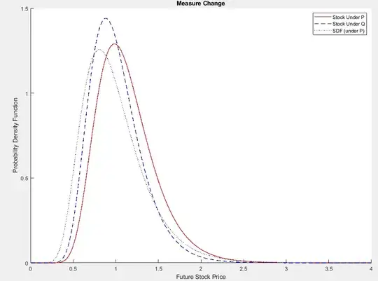
I plot below the density of the stock price $S_t$ (under $\mathbb{P}$ and $\mathbb{Q}$) and the density of the SDF $M_t$ (under $\mathbb{P}$ of course). I use $T=1$ (one year), $\mu=0.12$, $r=0.01$, $\sigma=0.3$ and $S_0=1$. Plotting the densities from $S_T=0$ up to $S_T=4$ is enough for the densities to numerically integrate to one.
As you see, the SDF puts the most weight on low values of $S_T$. That makes sense. The SDF is driven by marginal utility and marginal utility and risk aversion are high in bad states of nature. Similarly, the risk-neutral density of the stock price puts more weight on economically bad states of nature and reduces the likelihood of good events. Thereby, it reduces the expected future stock price from $S_0e^{\mu t}$ to $S_0e^{rt}$.

The full picture would be this

Computing the expectation corresponding these densities, $\int_0^4 xf(x)\text{d}x$, we indeed get $S_0e^{\mu T}\approx1.1275$ for the $\mathbb{P}$-density, $e^{-rt}\approx0.9899$ for the density of $M_t$, $S_0e^{rT}\approx1.01$ for the density of $S_T$ under $\mathbb{Q}$ and, of course, $S_0=1$ for the densities of $M_TS_T$ and $\frac{S_T}{B_T}$.