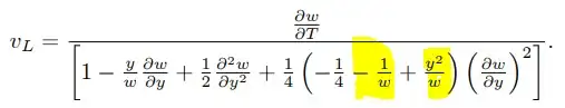
i am seeing different formulas at different places on stack exchange, so not sure! eg if denominator has a term y^2/w^2, or y/w^2 or 1/w or -1/w
and also, whatever formula i use, i get a negative denominator for the following (which has no arbitrage), so i wonder why it doesnt work? T=1,F=100,K1=95,K2=100,VOL1=27%,VOL2=22% and i am evaluating local vol at K1,T (ie so the 2nd derivative term is zero)
i guess AFK's answer at Local volatility surface corresponding to the implied volatility surface may be correct, as for his, it does not fail in my above example!

i wonder why this derivation would be wrong! https://www.frouah.com/finance%20notes/Dupire%20Local%20Volatility.pdf
