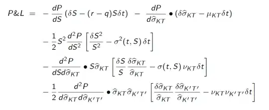
I came across a presentation where it is stated that using a local volatility model the PnL of an option is
What does he mean by spot/vol correl = -100%?
I came across a presentation where it is stated that using a local volatility model the PnL of an option is
What does he mean by spot/vol correl = -100%?
The LV model is a particular kind of model where the implied volatility of a European vanilla of given strike and maturity emerges a deterministic function of time, spot level and the local volatility function used $\sigma(\cdot, \cdot)$. $$ \hat{\sigma}_{KT} = f(t, S_t; \sigma) $$ such that using Itô one could write \begin{align} \frac{ dS_t }{S_t } &= \mu dt + \sigma(t,S_t) dW_t^\Bbb{Q} \\ d\hat{\sigma}_{KT} &= \left( \frac{\partial f}{\partial t} + \frac{\partial f}{\partial S} (r-q) S_t + \frac{1}{2} \frac{\partial^2 f}{\partial S^2} \sigma^2(t,S_t) S_t^2 \right) dt + \frac{\partial f}{\partial S} \sigma(t,S_t) S_t dW_t^\Bbb{Q} \\ &:= \mu_{KT} dt + \nu_{KT} \hat{\sigma}_{KT} dW_t^\Bbb{Q} \end{align} from where you see that if the market behaves as postulated by the model $$ \Bbb{E}\left[ \frac{\delta S}{S} \frac{\delta \hat{\sigma}_{KT}}{\hat{\sigma}_{KT}} \right] = \sigma(t,S_t) \nu_{TK} \delta t$$ and the Volga term in the P&L equation above vanishes in expectation, independently of the instrument considered, as required of a genuine market model (payoff-independent break-even levels).
Now looking at the spot/implied volatility correlation priced in by the local volatility model we have: $$ \frac{d \langle \ln S, \hat{\sigma}_{KT} \rangle_t}{\sqrt{ d \langle \ln S \rangle_t d \langle \hat{\sigma}_{KT} \rangle_t } } = \frac{ \sigma^2(t,S_t) S_t \frac{\partial f}{\partial S} dt }{ \sigma^2(t,S_t) S_t \left\vert \frac{\partial f}{\partial S} \right\vert dt } = \text{sign}\left(\frac{\partial f}{\partial S}\right) = \text{sign}\left( \frac{{\partial \hat\sigma}_{KT}}{\partial \ln S} \right) $$ because of $S_t \geq 0, \forall t>0$
In other words correlation is either +100% or -100% or 0% depending on the sign of the term on the RHS.
Now it so happens that the latter partial derivative is negative for negatively skewed vanilla markets, which is the case of (most) equity markets. To have a better grasp on this result which would require a separate answer, see Bergomi's book, chapter 2, equations (2.58)-(2.59)-(2.60).