Usually for MLE estimation as you said we compute the residuals starting from index number of lag+1 (p+1 for AR model) in this case we obtain Conditional MLE estimates:
$\hat{\theta} = \text{arg max} \sum_{p+1}^{T} \ln f(Y_{t}|\theta)$
where $f(Y_{t})$ is the marginal density of observation $Y_{t}$ and $\ln$ is employed to maximized the log likelihood. The first residuals are then fixed as missing values and then we get a smaller number of usable residuals than observations. (in this case you start the recursion algorithm from index P+1)
However, it is also possible to estimate your model with Exact MLE estimates:
$\hat{\theta} = \text{arg max} \sum_{p+1}^{T} \ln f(Y_{t}|\theta) + \ln f(Y_{p},...,Y_{1},\theta)$
This require to fix some pre-sample values (the $Y_{0},...Y_{-p+1}$ ) in order to be able to run the model. Given that the AR model is stationary you can fix these values to their sample mean or unconditional theoretical mean. In this case first residuals are not missing values and you obtain the same number of usable residuals than observations. (in this case you start the recursion algorithm from index 1)
Regarding standardized residuals $res_{std}$, it is simply the residuals from the model divided by the conditional standard deviation : $ res_{std}= res /\sigma_{t}$ , this require to estimate $\sigma_{t}$ via, for instance, a GARCH model. If you don't model the conditional variance part, you use : $res_{std}= res /\sigma $ where $\sigma$ is the unconditional volatility of residuals obtained during estimation.
See this nice paper for details.
EDIT
I found my answer no enough documented so this is an update.
First the MLE method for a simple AR1 model is very well explained in the following page
See below,
(from : Hamilton, J. D. (1994). Time Series Analysis (1 edition). Princeton University Press. (page 122) ):

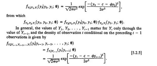
[...]

So as we see the Exact Log Likelihood [equation 5.2.9] differs from the Conditional Log likelihood [equation 5.2.27] in the sense that in the exact MLE we maximize the full likelihood (that is why we call it exact) whereas in the conditional version we truncate the likelihood by dropping the marginal :
$-0.5 \log(2\pi) -0.5\log(\sigma^{2}/(1-\phi^{2}))- \frac{(y_{1}-(c/1-\phi))^2}{2\sigma^{2}/(1-\phi^2}$
This marginal replaces the expectation of $E(Y_{0}) = c+\phi Y_{-1} + \epsilon$ by the unconditonal mean $E(Y_{0}) = \frac{c}{1-\phi}$