Project Management Answer
Analysis
The critical path is, by definition, the longest path between two nodes. Wikipedia says (emphasis and italics mine):
CPM calculates the longest path of planned activities to logical end points or to the end of the project, and the earliest and latest that each activity can start and finish without making the project longer.
To complicate your question further, it also says:
A project can have several, parallel, near critical paths; and some or all of the tasks could have 'free float' and/or 'total float'. An additional parallel path through the network with the total durations shorter than the critical path is called a sub-critical or non-critical path. Activities on sub-critical paths have no drag, as they are not extending the project's duration.
In common usage, an activity-on-node diagram is generally expected to define real or virtual nodes for the starting and ending states. These nodes often represent project initiation and project closing, but integration or delivery (or even other terminal activities) might be the right endpoints for certain diagrams. In any case, you can certainly add "start" and "end" nodes when needed. For example:

However, if used as an activity diagram with multiple end points and parallel or near-critical paths, you can still use CPM to measure the longest distance between any two nodes in the diagram, so it's not inherently necessary that all paths converge.
Recommendations
It's not possible to know what the test or teacher considers the "correct" answer to be, but here are two possible solutions to your problem.
- Add real or virtual nodes to represent the start and end of your project. The critical path is then the longest distance between the root node and the terminal node of your diagram.
- Identify the root and terminal nodes for a given activity. The critical path is then the longest distance between the start and end of the activity.
In the real world, I would generally opt for the first method, but the second one could certainly be valid for some use cases. Your mileage may vary.
Note: Stop reading here unless you're a programmer!
Programming the Answer
Diagramming the Recommended Solution
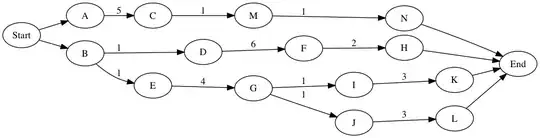
Given your input data, and given my recommendations above, I'd suggest the following solution using Graphviz. Most people can skip this section of the answer, but it's here to document how to create such a graph by mapping the tasks and predecessors from the source table into code, which then generates your critical path diagram.
DOT Input File
The following contents should be stored in a DOT file named cpm.dot for compatibility with the subsequent examples.
digraph cpm {
// predecessor -> task [label=duration]
A -> C [label="5"];
B -> D [label="1"];
B -> E [label="1"];
D -> F [label="6"];
E -> G [label="4"];
F -> H [label="2"];
G -> I [label="1"];
G -> J [label="1"];
I -> K [label="3"];
J -> L [label="3"];
C -> M [label="1"];
M -> N [label="1"];
// virtual start & end nodes
Start -> A, B;
H, K, L, N -> End;
}
Create Graph from Input File
Generate cpm.png from the DOT file using Graphviz:
dot -Grankdir=LR -Tpng cpm.dot > cpm.png
Resulting Activity-on-Node Digraph
