0

The algebraic criteria for proving Lorentz invariance is that, replacing x with x' and t with t', where

$$x'=\gamma(x-vt)$$ $$t'=\gamma\left(t - \frac{vx}{c^2}\right)$$

should give back a certain "similar" form of the original equation.

What is the simplest toy equation that can be easily shown to be Lorentz invariant algebraically?

James
  • 595
  • How about $E=mc^2$ (where the quantity $E$ here refers to the energy in the rest frame, and $m$ refers to the invariant mass). – Andrew Steane Dec 15 '22 at 16:30
  • 1
  • @AndrewSteane where should I put the variables x and t into $E = mc^2$? – James Dec 15 '22 at 17:14
  • @ɪdɪətstrəʊlə where should I put the variables x and t into 1 = 1? – James Dec 15 '22 at 17:15
  • What do you mean by Lorentz-invariant? Maxwell's equations are not invariant, they are covariant. The terms in the equations are not invariant. Do you just mean an equation true in any inertial frame of reference? – ProfRob Dec 15 '22 at 17:32
  • @ProfRob yes, i think I meant that Maxwell's equations have the same form in any inertial frame of reference. But I have not done a concrete example how an entire physical law can be invariant in every aspect under Lorentz transformation, so I don't really know what that means. – James Dec 15 '22 at 18:09
  • Voting to close since "the simplest" is probably opinion-based. Could also be closed as "homework like" or unclear. – hft Dec 15 '22 at 18:44
  • Related: https://physics.stackexchange.com/questions/741266/how-to-generate-invariant-quantities-using-4-vector-method – hft Dec 15 '22 at 18:52

4 Answers4

4

$\Delta t^2-\Delta (x/c)^2=\Delta s^2$ for Minkowski spacetime geometry,
in analogy to $\Delta x^2+\Delta y^2=\Delta r^2$ for Euclidean geometry

robphy
  • 11,748
2

Is there a formal definition of simplest? I'll posit:

$$ E^2 -(pc)^2 = (mc^2)^2 $$

which you can Lorentz transform to $|\vec p| = 0$ and get:

$$ E = mc^2 $$

Of course there is the notion of "Manifest covariance" (which is manifest invariance for Lorentz scalars like $m$), in which covariance is apparent in Minkowski space:

$$ p^{\mu}p_{\mu} = (mc)^2 $$

where the 4-momentum is:

$$ p^{\mu} = (E/c, \vec p) $$

JEB
  • 33,420
1

Finding invariant equations in special relativity is relatively easy once you know about contra/covariance.

Define a contravariant vector as any vector which transforms as $$V'=\Lambda\cdot V^\nu$$ where $${\Lambda}=\pmatrix{\gamma&-\beta\,\gamma\\ -\beta\,\gamma&\gamma}$$ Is the Lorentz matrix. Contravariant vectors are often denoted with a superscript index, like $V^\mu$. Now define a covariant vector as a vector which transforms as $V'=({\Lambda^{-1})^T}\cdot V$, here $\Lambda^{-1}$ is just the inverse of the Lorentz matrix and you can find it by replacing $\beta\rightarrow-\beta$. Here $^T$ means taking the transpose. Contravariant vectors are often indicated with a subscript index, like $V_\mu$.

Now every time you contract a contravariant vector with a covariant vector you get an expression which is invariant under Lorentz transformations. A contraction is then defined using either of these expressions $V\cdot W=V_\mu W^\mu=V^TW$. \begin{align} V'\cdot W'&=V'_\mu W'^\mu\\ &=((\Lambda^{-1})^TV)^T \Lambda W\\ &=V^T\Lambda^{-1}\Lambda W\\ &=V^TW\\ &=V\cdot W \end{align} If you have a contravariant vector you can easily construct a covariant vector by contracting it with ${\eta_{\mu\nu}}=\pmatrix{-1&0\\0&1}$. For example if you contravariant vector is $(ct, x)$, your covariant vector is $(-ct, x)$. Contracting these gives $-c^2t^2+x^2$, which is invariant.

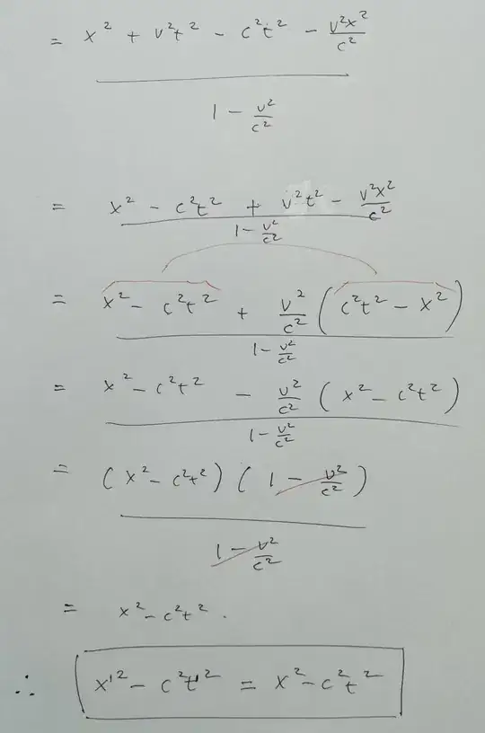
0

The quantity

$$x^2 - c^2t^2$$

is algebraically invariant under the transformation:

$$x'=\gamma(x-vt)$$ $$t'=\gamma\left(t - \frac{vx}{c^2}\right)$$

enter image description here

enter image description here

James
  • 595