1

What is the physical meaning of Navier-stokes equations?

I am trying to understand the physical meaning of Navier-stokes equations. But I did not get any reasonable answer so far.

Qmechanic
  • 201,751
ak_87
  • 11
  • https://youtu.be/ERBVFcutl3M – BowlOfRed Nov 12 '19 at 18:05
  • 1
    @BowlOfRed Most of the reasoning in this video is either wrong or very weak. First of all the equations presented are for incompressible fluid only and is lacking the energy equation. Furthermore it is given in differential notation so it already excludes discontinuities such as shocks. Additionally it silently imply Newtonian fluid with constant material values (constant viscosity). Yet he keeps talking about that this set of equations can describe any fluid and general and beautiful it is. – 2b-t Nov 15 '19 at 01:36
  • 1
    This simplified version of the conservation equations can't and Navier-Stokes in general can't as it is limited to continuum flows so it does not describe any fluid. Then the explanation of Reynolds averaging is not correct: Reynolds averaging is time averaging not spatial averaging. Comments like "fundamentally fluids - they just are turbulent - not every fluid but air water..." (14:40) are just wrong. Turbulence is never an inherent property of a fluid but instead of the flow! – 2b-t Nov 15 '19 at 01:38
  • 1
    Then he keeps talking about restrictions regarding resolution. He states you are not able to resolve all particles in the atmosphere. In fact in continuum based methods you never do and it is not even about the particles but instead about estimating relevant ratios of length and time scales. Furthermore numerical solutions blowing up has nothing to do with the Navier-Stokes but with deficits of discretisation. This video in my opinion is so imprecise it is just a waste of time. If you read two paragraphs on Wikipedia you are far better off. – 2b-t Nov 15 '19 at 01:46

3 Answers3

3

Strictly speaking the Navier-Stokes equation is used for the vector equation (or the scalar equations in every direction of space) describing the conservation of momentum for a continuous deformable chunk of mass, a continuum, that is characterised by its viscous properties (it basically acts like a huge damper).

More generally the term is used for the entire set of conservation equations that describe the motion of such a fluid (gas or liquid), namely the continuity equation that describes the conservation of mass, the momentum equation that describes the conservation of momentum similar to Newton's second law $\vec F = m \vec a$ and the energy equation that describes the conservation of total energy $e := e_{in} + \sum\limits_{j \in \mathcal{D}} \frac{u_j u_j}{2}$ ($\mathcal{D}$ denotes here the possible spatial dimensions $\{ x, y, z \}$).


Basic assumption: continuum hypothesis

The continuum hypothesis is based on a macroscopic view that neglects the presence of atoms and molecules and simply assumes that the material of interest is so dense that you can find limiting values for macroscopic variables like density $\rho$ and pressure $p$. The deviation from such an ideal state is characterised by the Knudsen number $Kn$ and makes the equations break down for very dilute substances such as rarefied gas flows that might be relevant for the re-entry of a spaceship. Nonetheless the equations can be applied to most cases of fluid flow including the flow of water, car aerodynamics, flow at very small scales (microfluidics) and supersonic flow around fighter jets.

Navier-Stokes as a set of advection-diffusion equations

All the conservation equations take the form of an advection-diffusion equation (here in differential notation which assumes smoothness of the solutions so it can't be applied to flow discontinuities such as shocks, in that way an integral formulation is more general)

$$\underbrace{\frac{\partial \Phi_i}{\partial t}}_{\text{temporal change}} + \underbrace{\sum\limits_{j \in \mathcal{D}} \frac{\partial (\Phi_i u_j )}{\partial x_j }}_{\text{change due to advection}} = \underbrace{ \sum\limits_{j \in \mathcal{D}} \frac{\partial D_i}{\partial x_j } }_{\text{diffusion}} + \underbrace{S_i}_{\text{source}}$$

where $\Phi_i$ is the property of interest and $D_i$ a certain diffusive flux that smooths out the property in space:

$$ \vec \Phi = \left( \begin{array}{c} \rho \\ \rho u_x \\ \rho u_y \\ \rho u_z \\ \rho e \\ \end{array} \right) \hspace{2cm} \vec D = \left( \begin{array}{c} 0 \\ \sigma_{xj} \\ \sigma_{yj} \\ \sigma_{zj} \\ - q_j + \sum\limits_{i \in \mathcal{D}} u_i \sigma_{ij} \\ \end{array} \right) \hspace{2cm} \vec S = \left( \begin{array}{c} 0 \\ \rho g_x \\ \rho g_y \\ \rho g_z \\ \sum\limits_{i \in \mathcal{D}} \rho u_i g_i \\ \end{array} \right)$$

$\sigma_{ij}$ is the stress tensor composed of pressure $p$ and viscous stresses $\tau_{ij}$

$$ \sigma_{ij} := - p \delta_{ij} + \tau_{ij} $$

and $q_j$ is the heat flux.

Generally one assumes that the material law, connecting deformation of a fluid element and stresses is given by an isotropic Newtonian fluid and the Stokes' hypothesis

$$\tau_{ij} = 2 \mu S_{ij} - \frac{2}{3} \mu \sum\limits_{k \in \mathcal{D}} S_{kk} \delta_{ij}, $$

where $S_{ij}$ is the rate of strain tensor

$$S_{ij} := \frac{1}{2} \left( \frac{\partial u_i}{\partial x_j} + \frac{\partial u_j}{\partial x_i} \right),$$

and the heat flux is modelled according to Fourier's law

$$q_i = - k \frac{\partial T}{\partial x_i}.$$

2b-t
  • 1,749
2

In a nutshell Navier-Stokes equations are a continuum version of Newton's 2nd law. They keep track of how momentum (density) of the fluid change in time.

Qmechanic
  • 201,751
0

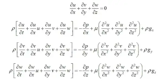
Its just an Equation of motion for Fluid just relatable to Newton's second Law of Motion. Lets start , enter image description here

This is the general Expression which can be determined as that, Left hand side is the acceleration of small of region of fluid and right hand side is the forces that act on it,i.e. Pressure,stress and internal body forces. It follows also law of conservation of momentum.These equations are used to solve incompressible or compressible, low or high speed,invisced or viscous flows.

Lets talk about its differential equations for which describe flow of liquids.enter image description here

The symbol "partial" is is used to indicate partial derivatives. The symbol indicates that we are to hold all of the independent variables fixed, except the variable next to symbol, when computing a derivative. The terms on the left hand side of the momentum equations are called the convection terms of the equations. Convection is a physical process that occurs in a flow of gas in which some property is transported by the ordered motion of the flow. The terms on the right hand side of the momentum equations that are multiplied by the inverse Reynolds number are called the diffusion terms. Diffusion is a physical process that occurs in a flow of gas in which some property is transported by the random motion of the molecules of the gas.Turbulence , Boundary layers , stress these all we study in CFD(computational Fluid Dynamics) come under Diffusion.

Note: They are actually simplifications of the more Euler equations of fluid dynamics. The Euler equations neglect the effects of the viscosity of the fluid which are included in the Navier-Stokes equations.

  • Hi and welcome to the Physics SE! The equations become much easier to read, search and edit when mathjax is used. It'd be great if you could use it here and, especially, in your next posts. – stafusa Sep 29 '20 at 12:45