4

Say we take the position that everything in this Universe is dual, everything has an opposite (I prefer counterpart). Now physicists come along and show that matter is both particle and wave on a micro level of the Universe.

What if we zoom out from micro and go macro. There we get into the world of gravity. But we have learned that everything is dual. So on the macro level we most also have a counterpart. What would that counterpart be? I'm thinking electricity.

Mainly because it has the same properties of a wave. Free-flowing, un-resticted. There are also theories that much of the Universe is governed by magnetic/electrical energy in the form of plasma.

These are often rejected though by a lot of astronomers and cosmologist who adhere to the "particle" view.

What are your thoughts on this? What is the counterpart of gravity?

Please note that I do not have an in-depth understanding of philosophy nor physics. I just like to think about stuff.

Byebye
  • 143
  • 4
  • 1
    Asking about the dual of e.g. myself doesn't sound so meaningful. So the idea that everything has a dual is not so practical. But possible duals of gravity include mass (this was Gamow's observation to Einstein, that potential energy of gravity is possibly exactly that of the mass in the universe, which stopped Einstein in his tracks); the inflationary force that's postulated in the Big Bang theory and that nobody's ever seen any other hint of (much like dark matter and energy, just ghostly undetectable theoretical stuff); and "anti-gravity", which is widely seen as "the" ridiculous idea. – Cheers and hth. - Alf Jun 02 '15 at 23:35
  • 1
    Generally, questions that contain "What are your thoughts on this?" are frowned upon... would be better if you asked "What do say about this?" – James Kingsbery Jun 03 '15 at 15:32
  • I question whether it is meaningful to ask for the dual of gravity: Gravity is one the presently known four forces of interactions. Electromagnetism is a second one, but there exist also weak and strong interaction. In addition, at higher energies weak and electromagnetism unify and at even higher energies they even unify with strong interaction. Gravity stand apart. Until now, it could not be embedded into the concept of gauge fields. Surely, electricity is not the dual of gravity. - – Jo Wehler Dec 01 '15 at 21:01
  • To deal with the question of duality in a sound physical context, one has to ask for a symmetry group, which transforms one component of the duality into the other component. A typical example is the duality between fermions and bosons named supersymmetry. - My main objection to the original question is its assumption "everything in this universe is dual". I do not see any argument supporting such general claim. – Jo Wehler Dec 01 '15 at 21:06

4 Answers4

3

You've hit on what Aristotle writes in his Metaphysics (or etiology today) which is that all philosophers agree that forces come as contraries ie duals; this is exactly why he supposed as you've done that there is a counterpart to gravity; thus this is why he would say smoke rises and why a stone falls.

Today, with our closer and more precise understanding of the laws that govern nature there is no simple counterpart to gravity; one might posit this as dark energy as this is a repelling force, the other possibility is the inflationary field in the early universe as that too repelled - and exponentially so.

Mozibur Ullah
  • 47,073
  • 14
  • 93
  • 243
  • Would "Metaphysics" be an interesting read? I've tried to read books like "Being and Nothingness" and "Pheado". The first I found hard to get through because it used a lot of words I lack an understanding of (not a native english speaker) and the latter being in the form of a story really attracted me. Also, can you elaborate on why the field of Physics rejects this view of a (simple) counterpart? In my mind what is true on a micro level must also hold on a macro level. – Byebye Jun 03 '15 at 08:17
  • I'll mark this as the answer. But I'm still interested in hearing your thoughts about the previous question. – Byebye Jun 03 '15 at 08:58
  • Well, I certainly found it useful; I think it does matter that one has a good grounding in the sciences - physics and biology - before looking at it; he has a more discursive style than Plato, more reminiscent of what usually goes for an academic treatise today; whereas Plato is more literary - using narrative, myth and dramatis personae. I found the translation by Sorabji fairly clear in his use of language ie not using obscure terms. – Mozibur Ullah Jun 03 '15 at 15:09
  • Physics doesn't reject this view; it's just that the language has changed and it's hidden; in Classical Physics conceived by Newton you have equal and opposite reactions, and then later there was the Lagrangian and Hamiltonian formulation which are dual to each other; Maxwell showed that magnetic field was dual to the electric; and in QM Dirac posited the positron as the dual to the electron, in QFT the Heisenberg picture is dual to Schrodingers in that in it is the observables that evolve, and in other it's the states that evolve. – Mozibur Ullah Jun 03 '15 at 15:20
  • In String Theory a low-energy limit of a certain theory (meaning a system) is dual to the high-energy limit of another; of course dualities are being used here in many different senses - but then so did Aristotle; probably the most general conception of duality in modern physics is simply the notion of symmetry. – Mozibur Ullah Jun 03 '15 at 15:24
  • One thing you might find useful about the metaphysics is that he uses no mathematics. – Mozibur Ullah Jun 03 '15 at 15:26
  • And you might find this question useful. – Mozibur Ullah Jun 03 '15 at 15:32
2

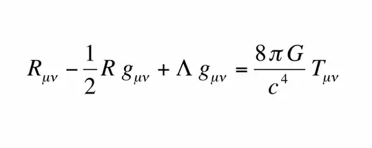
This is really just an elaboration on Mozibur Ullah's answer. Gravitation is currently described in terms of geometry (General relativity and all subsequent gravitaitonal theories including the brans-dicke theory are metric theories). The equation for gravitation, according to general relativity, is this: enter image description here

Don't worry if you don't understand the mathematics; all that is important is this symbol, ƛ, which looks like an upside down v. This symbol, called the cosmological constant, basically functions as the intrinsic energy density of the vaccuum. And there is one interesting feature about this constant; when this constant is positive, there exists a repulsive force expanding space-time. Hence, gravitation includes both repulsive and attractive forces. In a sense, gravity contains dual forces, and is an over-arching concept.

Cicero
  • 701
  • 7
  • 21
  • Thank you for the response. I indeed do not understand the mathematics. I do have question though. As I understand it at the moment gravity cannot be reconciled with special relativity? It was something along those lines. Is this exactly because of this property of gravity? That it both repels and attracts? – Byebye Jun 03 '15 at 08:21
  • Gravity is in fact reconciled with special relativity. When Gravity is small and space time is approximately flat, special relativity would be a good approximation. – Cicero Jun 03 '15 at 13:57
1

A very interesting idea thinking of these dualities , I as well have no deep understanding of physics, but I think that you're going in the right direction with electricity. When you look at the formula in Coulomb's law you can't help but notice its analogy to the one for gravitational force. Charge and electromagnetism and all these phenomena are so closely related and I don't have a really great understanding of them but I would say that charge creates an electromagnetic field in a way similar to mass creating gravitational field. Also, we observe gravity and we came up with all the equations but we actually don't what is causing it. Now mabye I'm wrong here, but after a quick search I found basically the same about charge and electromagnetism we don't know why particles have charge, we just observe it. All in all I agree with you, when thinking like this, it's probably something with electricity, charge in my opinion.

  • Welcome to [philosophy.SE]. Please, consider editing your post in order to answer what is being asked. – André Souza Lemos Jun 03 '15 at 01:24
  • Thank you for the answer. I also found the resemblance uncanny. Especially after hearing about the "Thunderbolts" project. Which basically postulates that next to gravity, electromagnetism is a big force in the Universe. Maybe it would be interesting for you to look that up. They say they have proven that some of the parts where gravity lacks, electromagnetism or more specifically plasma-physics can fill the holes. I can't verify that at all, but I think it's an interesting viewpoint to hold. – Byebye Jun 03 '15 at 08:26
1

The philosophical counterpart of gravity, i believe, would be "weight." As in "the weight of such a statement..." or leading to the "impact of such thoughts"

Now, the yin to gravitys yang? now that is much more tricky. Your question seems to ask about two differing things. Gravitational force, and universal expansion (the big bang).

So like gravity... from what i understand. As we don't fully understand the cause of gravity's force and impact on reality and existence. We can't really then say what the opposite of it would be. One of the other answers mentioned something about someones reasoning about. "smoke rises stone falls" That logic isn't really one of gravity, as much as thermodynamics. Simply put, heat rises, cool drops. (from a context of oxygen rich gaseous environments such as ours.)

We observe that the more mass a thing has, the more gravity affects it. So the stone, being a solid, has more mass. Than the smoke, which is just either gas or vapor (is there a difference?) So smoke not having much mass at all. and having more heat than the ambient air around it, will rise.

I do not think that electricity is really the right way to go, as simply electrifying something, does not affect its overall mass. However this is speaking from a non quantum sort of sense. As at the quantum level we observe that potential energy has mass. (Gross Oversimplification: a spring that was pressed down against itself would weigh, if even an imperceptible amount, more. Than an identical spring, just left out with no alteration.)

I am not sure about the quantum implications of electricity... but you might be right. Perhaps then, we are just "beings" of "mass" and "gravity" rather than "those" of "photons" and "charge." So i guess, i am suggesting and agreeing with the idea that everything has its opposite. but perhaps the opposite of things like gravity and matter, are so opposing, that we cannot even observe them to exist... Maybe souls are the counterpart to gravity? Not to be glib, but maybe god? Perhaps gravity is the counterpart to physical existence itself. A side affect...

Really, all of this is sort of splitting hairs though. You know the saying "a thousand ways to skin a cat"? That is all any of this is... Differing ways to view the same thing, reality, or...

'the' 'world' 'around' 'us'

..as it were. Which is only light. Light at different speeds and wavelengths. Some lights are many different frequencys and "shades" of light. But the end of the day... its just light. You zoom in far enough and you get cells down to proteins and amino acids and such, down to particles, to atoms, to electrons and protons and such, to quarks, to the other things that we have found beyong quarks. ...to higgs particles... and then eventually what ever makes up higgs particles... that is the cosmic joke. Zoom in, far as ya like or zoom out, far as ya like... and you haven't really "got" "anywhere". Look into fractals (wiki) and recursion (wiki)

Sooo. You asked for my view, which is kind of a cop out, lol. But all the same here you go. Gravity; like time, light, Pi, god, and so many other things. Are ineffable, and try as we might, we are not built for the task of effing such topics. Eh heh heh heh, see what i did there?

It odd, but after proofreading this, I think I have stumbled upon another argument in support of the hindu brahman. Put simply, that which contains all that is, was, can, or will be... the unseen thing or force that governs all things or forces. ...most people might just call it "god." But i like the hindu framing. As brahman would be the thing that god is also made of... as it makes up all things... including emptyness and the lack of things... its a real trip though... that would be the zooming out to macro as well. as macro as the scale can get. Again though, like time, infinity, and death... its a topic that our brains were honestly not developed to be able to conceptualize in its totality. Merely to get a functional understanding of it and move along. Like the answer involving all the fun mathings. With the formula. It mentions the cosmological constant...

Is the value of the energy density of the vacuum of space. A homogeneous energy density that causes the expansion of the universe to accelerate. -google

Which when you dig around a bit, you find out, that constant is like the higgs particle. Which is to say, that we are not 100% sure about it yet. But the way we are doing our mathings, relies heavily if not solely on it being there. Which is a way of saying, "Wehlp, that cosmological constant is the only thing that lets all this other really cool math to work... so uhhh we're goin' with it." Which to my mind seems like sloppy astronomy, but like the hypothetical person suggested... its all we got to go off of..

so there. the philosophical counterpart of gravity, is brahman. The unknowable supreme existence ether.

-Thanks much, for the candy for my brain to gnaw on for a while. :-D

Bob
  • 129
  • 5
  • 1
    I really like this answer. It reminds me of the holographic universe theory. Which claims that every "thing" contains "everything". So that you get something like a feedback loop. Zoom out as far as you want and you'll come to the same conclusion as zooming in as far as you want. It kinda reminds me of a torus. It repels and attracts at the same time, creating flow in all directions going back to it's source. Infinity spewing out the finite if you will. – Byebye Jun 03 '15 at 09:19