I have a Dantzig-Wolfe decomposition question with the following questions
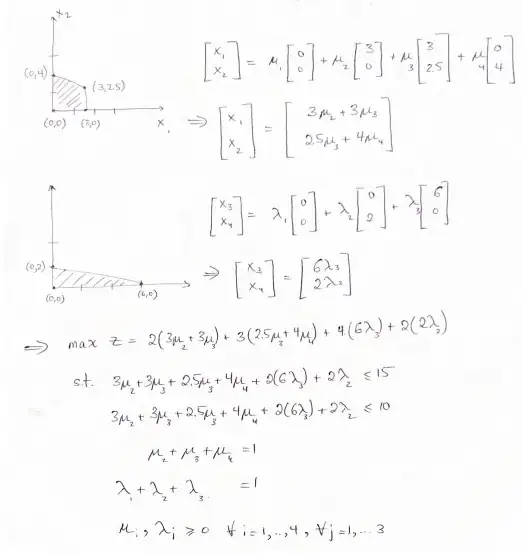
\begin{align} &Maximize: 2x_1 +3x_2+4x_3+2x_4 \\ s.t. \quad & x_1 +x_2+2x_3+x_4 \le 15\\ & x_1 +x_2+2x_3+x_4 \le 10\\ &x_1 +2x_2 \le 8\\ &x_1 \le 3\\ &x_3+3x_4 \le 6\\ &x_4 \le 4\\ &x_1,x_2,x_3,x_4 \ge 0\\ \end{align}
a) Find the extreme point of the diagonal blocks (e.g., using the graphical method) and reformulate this optimization problem in terms of that extreme points using the representation theorem.
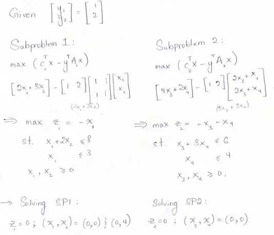
b) Assuming that the dual variable for the binding constraints (the one with ≤ 15 and ≤ 10) are equal to 1 and 2, respectively. Formulate the corresponding sub-problems and find the vectors Vih to be added as the columns in the master problem
I posted the solutions but am unsure how to solve part (b). Is the solution optimal since the z of both subproblems is zero?


