For a Resource-Constrained-Project-Scheduling problem, I need to calculate Critical-Path-Method (CPM) values for each of the activities. These values are:
- Earliest Start (ES)
- Earliest Finish (EF)
- Latest Start (LS)
- Latest Finish (LF)
The activity network can be represented by an Activity On Node diagram, which is a directed graph $G = (V,A)$, with $V = \{1,2,\ldots, n\}$ being nodes that represent the activities, $A=\{(i,j)\}$ being the arcs indicating the end-start precedences between node $i$ and $j$. Furthermore, it is assumed that the network is such that node $1$ is a source and node $n$ is a sink node. This means that all nodes can be reached from node $1$ by a path and node $n$ is reachable from all nodes by a path.
The ES and EF values can then be calculated by a forward pass, where $ES_0 = 0$. The LS and LF values can thereafter be calculated by a backward pass with $LF_n = EF_n$. I use a topological ordering of the nodes in order to do this correctly. Python pseudo-code for this procedure is as follows, where p denotes the duration of an activity and G_reverse is the original graph G where the precedences are reversed:
# Forward pass ==================
Stack = topologicalSort(G)
ES[0] = 0
while len(Stack) > 0:
u = Stack[0]
del Stack[0]
if ES[u] = updated:
for i in successors[u]:
ES[i] = max(ES[i], ES[u] + p[u])
EF = [ES[i] + p[i] for i in range(n)]
Backward pass ==================
Stack = topologicalSort(G_reverse)
LF[n] = EF[n]
while len(Stack) > 0:
u = Stack[0]
del Stack[0]
if LF[u] = updated:
for i in predecessors[u]:
LF[i] = min(LF[i], LF[u] - p[u])
LS = [LF[i] - p[i] for i in range(n)]
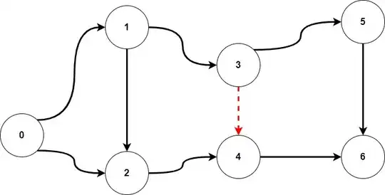
In my project, I am continuously adding new precedences $(i,j)$ to the graph (one by one), after which at each time I need to know the new LF time values of all activities. E.g. in the following example, the precedence $(3,4)$ is added to the original graph.
Currently, I do this by recalculating the ES, EF, LS and LF values each time for all nodes. Since this is an expensive part of my algorithm, I am wondering if this can be done more efficiently, e.g. by knowing beforehand which nodes will not have to be updated and exploiting this.
