I'm working on my first pulp model and something isn't going quite right. It looks like it's close, but for some reason it is not respecting one of my constraints...
It's a scheduling problem and I am trying to minimize the number of labor hours used whilst meeting the workforce requirements for each time window. The model returns an "optimal" result, but the staffing figures are far short of the workforce requirements for each window.
There are 120 potential shifts to choose from ("n"), and 84 time windows (t). Each time window has its own workforce requirement (number of staff, "d"). Not all shifts will be filled.
"d" is the number of workers required in each of the 84 time windows, it is as follows:
I want to minimize the number of labor hours required in total ("w") whilst meeting the workforce requirements for each time window. "w" looks like this, in hours per shift - one entry for each of the 120 potential shifts:
The final solution does not satisfy the workforce requirements for the various time windows, it's substantially short. Only 5 shifts are filled in total:
Status: Optimal
The number of workers needed for shift 0 is 1 workers
The number of workers needed for shift 90 is 2 workers
The number of workers needed for shift 91 is 1 workers
The number of workers needed for shift 92 is 1 workers
For reference, just to show that the needed amount of labor isn't in the solution, these are the full schedules for each of the 120 shifts (asterisks on the shifts that the solver filled (1, 89 (2 employees), 90, and 91):
| Shift_Num | Start_Shift | First_Break_Start | First_Break_End | Lunch_Start | Lunch_End | Second_Break_Start | Second_Break_End | End_Shift |
|---|---|---|---|---|---|---|---|---|
| ***1 | 5:00:00 AM | 6:40:00 AM | 6:50:00 AM | 9:00:00 AM | 10:00:00 AM | 11:40:00 AM | 11:50:00 AM | 2:00:00 PM |
| 2 | 5:00:00 AM | 6:50:00 AM | 7:00:00 AM | 9:00:00 AM | 10:00:00 AM | 11:50:00 AM | 12:00:00 PM | 2:00:00 PM |
| 3 | 5:00:00 AM | 7:00:00 AM | 7:10:00 AM | 9:00:00 AM | 10:00:00 AM | 12:00:00 PM | 12:10:00 PM | 2:00:00 PM |
| 4 | 5:00:00 AM | 7:10:00 AM | 7:20:00 AM | 9:00:00 AM | 10:00:00 AM | 12:10:00 PM | 12:20:00 PM | 2:00:00 PM |
| 5 | 5:00:00 AM | 7:20:00 AM | 7:30:00 AM | 9:00:00 AM | 10:00:00 AM | 12:20:00 PM | 12:30:00 PM | 2:00:00 PM |
| 6 | 5:00:00 AM | 6:40:00 AM | 6:50:00 AM | 9:15:00 AM | 10:15:00 AM | 11:55:00 AM | 12:05:00 PM | 2:00:00 PM |
| 7 | 5:00:00 AM | 6:50:00 AM | 7:00:00 AM | 9:15:00 AM | 10:15:00 AM | 12:05:00 PM | 12:15:00 PM | 2:00:00 PM |
| 8 | 5:00:00 AM | 7:00:00 AM | 7:10:00 AM | 9:15:00 AM | 10:15:00 AM | 12:15:00 PM | 12:25:00 PM | 2:00:00 PM |
| 9 | 5:00:00 AM | 7:10:00 AM | 7:20:00 AM | 9:15:00 AM | 10:15:00 AM | 12:25:00 PM | 12:35:00 PM | 2:00:00 PM |
| 10 | 5:00:00 AM | 7:20:00 AM | 7:30:00 AM | 9:15:00 AM | 10:15:00 AM | 12:35:00 PM | 12:45:00 PM | 2:00:00 PM |
| 11 | 5:00:00 AM | 6:40:00 AM | 6:50:00 AM | 9:30:00 AM | 10:30:00 AM | 12:00:00 PM | 12:10:00 PM | 2:00:00 PM |
| 12 | 5:00:00 AM | 6:50:00 AM | 7:00:00 AM | 9:30:00 AM | 10:30:00 AM | 12:10:00 PM | 12:20:00 PM | 2:00:00 PM |
| 13 | 5:00:00 AM | 7:00:00 AM | 7:10:00 AM | 9:30:00 AM | 10:30:00 AM | 12:20:00 PM | 12:30:00 PM | 2:00:00 PM |
| 14 | 5:00:00 AM | 7:10:00 AM | 7:20:00 AM | 9:30:00 AM | 10:30:00 AM | 12:30:00 PM | 12:40:00 PM | 2:00:00 PM |
| 15 | 5:00:00 AM | 7:20:00 AM | 7:30:00 AM | 9:30:00 AM | 10:30:00 AM | 12:30:00 PM | 12:40:00 PM | 2:00:00 PM |
| 16 | 6:00:00 AM | 7:40:00 AM | 7:50:00 AM | 10:00:00 AM | 11:00:00 AM | 12:40:00 PM | 12:50:00 PM | 3:00:00 PM |
| 17 | 6:00:00 AM | 7:50:00 AM | 8:00:00 AM | 10:00:00 AM | 11:00:00 AM | 12:50:00 PM | 1:00:00 PM | 3:00:00 PM |
| 18 | 6:00:00 AM | 8:00:00 AM | 8:10:00 AM | 10:00:00 AM | 11:00:00 AM | 1:00:00 PM | 1:10:00 PM | 3:00:00 PM |
| 19 | 6:00:00 AM | 8:10:00 AM | 8:20:00 AM | 10:00:00 AM | 11:00:00 AM | 1:10:00 PM | 1:20:00 PM | 3:00:00 PM |
| 20 | 6:00:00 AM | 8:20:00 AM | 8:30:00 AM | 10:00:00 AM | 11:00:00 AM | 1:20:00 PM | 1:30:00 PM | 3:00:00 PM |
| 21 | 6:00:00 AM | 7:40:00 AM | 7:50:00 AM | 10:15:00 AM | 11:15:00 AM | 12:55:00 PM | 1:05:00 PM | 3:00:00 PM |
| 22 | 6:00:00 AM | 7:50:00 AM | 8:00:00 AM | 10:15:00 AM | 11:15:00 AM | 1:05:00 PM | 1:15:00 PM | 3:00:00 PM |
| 23 | 6:00:00 AM | 8:00:00 AM | 8:10:00 AM | 10:15:00 AM | 11:15:00 AM | 1:15:00 PM | 1:25:00 PM | 3:00:00 PM |
| 24 | 6:00:00 AM | 8:10:00 AM | 8:20:00 AM | 10:15:00 AM | 11:15:00 AM | 1:25:00 PM | 1:35:00 PM | 3:00:00 PM |
| 25 | 6:00:00 AM | 8:20:00 AM | 8:30:00 AM | 10:15:00 AM | 11:15:00 AM | 1:35:00 PM | 1:45:00 PM | 3:00:00 PM |
| 26 | 6:00:00 AM | 7:40:00 AM | 7:50:00 AM | 10:30:00 AM | 11:30:00 AM | 1:00:00 PM | 1:10:00 PM | 3:00:00 PM |
| 27 | 6:00:00 AM | 7:50:00 AM | 8:00:00 AM | 10:30:00 AM | 11:30:00 AM | 1:10:00 PM | 1:20:00 PM | 3:00:00 PM |
| 28 | 6:00:00 AM | 8:00:00 AM | 8:10:00 AM | 10:30:00 AM | 11:30:00 AM | 1:20:00 PM | 1:30:00 PM | 3:00:00 PM |
| 29 | 6:00:00 AM | 8:10:00 AM | 8:20:00 AM | 10:30:00 AM | 11:30:00 AM | 1:30:00 PM | 1:40:00 PM | 3:00:00 PM |
| 30 | 6:00:00 AM | 8:20:00 AM | 8:30:00 AM | 10:30:00 AM | 11:30:00 AM | 1:30:00 PM | 1:40:00 PM | 3:00:00 PM |
| 31 | 7:00:00 AM | 8:40:00 AM | 8:50:00 AM | 11:00:00 AM | 12:00:00 PM | 1:40:00 PM | 1:50:00 PM | 4:00:00 PM |
| 32 | 7:00:00 AM | 8:50:00 AM | 9:00:00 AM | 11:00:00 AM | 12:00:00 PM | 1:50:00 PM | 2:00:00 PM | 4:00:00 PM |
| 33 | 7:00:00 AM | 9:00:00 AM | 9:10:00 AM | 11:00:00 AM | 12:00:00 PM | 2:00:00 PM | 2:10:00 PM | 4:00:00 PM |
| 34 | 7:00:00 AM | 9:10:00 AM | 9:20:00 AM | 11:00:00 AM | 12:00:00 PM | 2:10:00 PM | 2:20:00 PM | 4:00:00 PM |
| 35 | 7:00:00 AM | 9:20:00 AM | 9:30:00 AM | 11:00:00 AM | 12:00:00 PM | 2:20:00 PM | 2:30:00 PM | 4:00:00 PM |
| 36 | 7:00:00 AM | 8:40:00 AM | 8:50:00 AM | 11:15:00 AM | 12:15:00 PM | 1:55:00 PM | 2:05:00 PM | 4:00:00 PM |
| 37 | 7:00:00 AM | 8:50:00 AM | 9:00:00 AM | 11:15:00 AM | 12:15:00 PM | 2:05:00 PM | 2:15:00 PM | 4:00:00 PM |
| 38 | 7:00:00 AM | 9:00:00 AM | 9:10:00 AM | 11:15:00 AM | 12:15:00 PM | 2:15:00 PM | 2:25:00 PM | 4:00:00 PM |
| 39 | 7:00:00 AM | 9:10:00 AM | 9:20:00 AM | 11:15:00 AM | 12:15:00 PM | 2:25:00 PM | 2:35:00 PM | 4:00:00 PM |
| 40 | 7:00:00 AM | 9:20:00 AM | 9:30:00 AM | 11:15:00 AM | 12:15:00 PM | 2:35:00 PM | 2:45:00 PM | 4:00:00 PM |
| 41 | 7:00:00 AM | 8:40:00 AM | 8:50:00 AM | 11:30:00 AM | 12:30:00 PM | 2:00:00 PM | 2:10:00 PM | 4:00:00 PM |
| 42 | 7:00:00 AM | 8:50:00 AM | 9:00:00 AM | 11:30:00 AM | 12:30:00 PM | 2:10:00 PM | 2:20:00 PM | 4:00:00 PM |
| 43 | 7:00:00 AM | 9:00:00 AM | 9:10:00 AM | 11:30:00 AM | 12:30:00 PM | 2:20:00 PM | 2:30:00 PM | 4:00:00 PM |
| 44 | 7:00:00 AM | 9:10:00 AM | 9:20:00 AM | 11:30:00 AM | 12:30:00 PM | 2:30:00 PM | 2:40:00 PM | 4:00:00 PM |
| 45 | 7:00:00 AM | 9:20:00 AM | 9:30:00 AM | 11:30:00 AM | 12:30:00 PM | 2:30:00 PM | 2:40:00 PM | 4:00:00 PM |
| 46 | 8:00:00 AM | 9:40:00 AM | 9:50:00 AM | 12:00:00 PM | 1:00:00 PM | 2:40:00 PM | 2:50:00 PM | 5:00:00 PM |
| 47 | 8:00:00 AM | 9:50:00 AM | 10:00:00 AM | 12:00:00 PM | 1:00:00 PM | 2:50:00 PM | 3:00:00 PM | 5:00:00 PM |
| 48 | 8:00:00 AM | 10:00:00 AM | 10:10:00 AM | 12:00:00 PM | 1:00:00 PM | 3:00:00 PM | 3:10:00 PM | 5:00:00 PM |
| 49 | 8:00:00 AM | 10:10:00 AM | 10:20:00 AM | 12:00:00 PM | 1:00:00 PM | 3:10:00 PM | 3:20:00 PM | 5:00:00 PM |
| 50 | 8:00:00 AM | 10:20:00 AM | 10:30:00 AM | 12:00:00 PM | 1:00:00 PM | 3:20:00 PM | 3:30:00 PM | 5:00:00 PM |
| 51 | 8:00:00 AM | 9:40:00 AM | 9:50:00 AM | 12:15:00 PM | 1:15:00 PM | 2:55:00 PM | 3:05:00 PM | 5:00:00 PM |
| 52 | 8:00:00 AM | 9:50:00 AM | 10:00:00 AM | 12:15:00 PM | 1:15:00 PM | 3:05:00 PM | 3:15:00 PM | 5:00:00 PM |
| 53 | 8:00:00 AM | 10:00:00 AM | 10:10:00 AM | 12:15:00 PM | 1:15:00 PM | 3:15:00 PM | 3:25:00 PM | 5:00:00 PM |
| 54 | 8:00:00 AM | 10:10:00 AM | 10:20:00 AM | 12:15:00 PM | 1:15:00 PM | 3:25:00 PM | 3:35:00 PM | 5:00:00 PM |
| 55 | 8:00:00 AM | 10:20:00 AM | 10:30:00 AM | 12:15:00 PM | 1:15:00 PM | 3:35:00 PM | 3:45:00 PM | 5:00:00 PM |
| 56 | 8:00:00 AM | 9:40:00 AM | 9:50:00 AM | 12:30:00 PM | 1:30:00 PM | 3:00:00 PM | 3:10:00 PM | 5:00:00 PM |
| 57 | 8:00:00 AM | 9:50:00 AM | 10:00:00 AM | 12:30:00 PM | 1:30:00 PM | 3:10:00 PM | 3:20:00 PM | 5:00:00 PM |
| 58 | 8:00:00 AM | 10:00:00 AM | 10:10:00 AM | 12:30:00 PM | 1:30:00 PM | 3:20:00 PM | 3:30:00 PM | 5:00:00 PM |
| 59 | 8:00:00 AM | 10:10:00 AM | 10:20:00 AM | 12:30:00 PM | 1:30:00 PM | 3:30:00 PM | 3:40:00 PM | 5:00:00 PM |
| 60 | 8:00:00 AM | 10:20:00 AM | 10:30:00 AM | 12:30:00 PM | 1:30:00 PM | 3:30:00 PM | 3:40:00 PM | 5:00:00 PM |
| 61 | 9:00:00 AM | 10:40:00 AM | 10:50:00 AM | 1:00:00 PM | 2:00:00 PM | 3:40:00 PM | 3:50:00 PM | 6:00:00 PM |
| 62 | 9:00:00 AM | 10:50:00 AM | 11:00:00 AM | 1:00:00 PM | 2:00:00 PM | 3:50:00 PM | 4:00:00 PM | 6:00:00 PM |
| 63 | 9:00:00 AM | 11:00:00 AM | 11:10:00 AM | 1:00:00 PM | 2:00:00 PM | 4:00:00 PM | 4:10:00 PM | 6:00:00 PM |
| 64 | 9:00:00 AM | 11:10:00 AM | 11:20:00 AM | 1:00:00 PM | 2:00:00 PM | 4:10:00 PM | 4:20:00 PM | 6:00:00 PM |
| 65 | 9:00:00 AM | 11:20:00 AM | 11:30:00 AM | 1:00:00 PM | 2:00:00 PM | 4:20:00 PM | 4:30:00 PM | 6:00:00 PM |
| 66 | 9:00:00 AM | 10:40:00 AM | 10:50:00 AM | 1:15:00 PM | 2:15:00 PM | 3:55:00 PM | 4:05:00 PM | 6:00:00 PM |
| 67 | 9:00:00 AM | 10:50:00 AM | 11:00:00 AM | 1:15:00 PM | 2:15:00 PM | 4:05:00 PM | 4:15:00 PM | 6:00:00 PM |
| 68 | 9:00:00 AM | 11:00:00 AM | 11:10:00 AM | 1:15:00 PM | 2:15:00 PM | 4:15:00 PM | 4:25:00 PM | 6:00:00 PM |
| 69 | 9:00:00 AM | 11:10:00 AM | 11:20:00 AM | 1:15:00 PM | 2:15:00 PM | 4:25:00 PM | 4:35:00 PM | 6:00:00 PM |
| 70 | 9:00:00 AM | 11:20:00 AM | 11:30:00 AM | 1:15:00 PM | 2:15:00 PM | 4:35:00 PM | 4:45:00 PM | 6:00:00 PM |
| 71 | 9:00:00 AM | 10:40:00 AM | 10:50:00 AM | 1:30:00 PM | 2:30:00 PM | 4:00:00 PM | 4:10:00 PM | 6:00:00 PM |
| 72 | 9:00:00 AM | 10:50:00 AM | 11:00:00 AM | 1:30:00 PM | 2:30:00 PM | 4:10:00 PM | 4:20:00 PM | 6:00:00 PM |
| 73 | 9:00:00 AM | 11:00:00 AM | 11:10:00 AM | 1:30:00 PM | 2:30:00 PM | 4:20:00 PM | 4:30:00 PM | 6:00:00 PM |
| 74 | 9:00:00 AM | 11:10:00 AM | 11:20:00 AM | 1:30:00 PM | 2:30:00 PM | 4:30:00 PM | 4:40:00 PM | 6:00:00 PM |
| 75 | 9:00:00 AM | 11:20:00 AM | 11:30:00 AM | 1:30:00 PM | 2:30:00 PM | 4:30:00 PM | 4:40:00 PM | 6:00:00 PM |
| 76 | 10:00:00 AM | 11:40:00 AM | 11:50:00 AM | 2:00:00 PM | 3:00:00 PM | 4:40:00 PM | 4:50:00 PM | 7:00:00 PM |
| 77 | 10:00:00 AM | 11:50:00 AM | 12:00:00 PM | 2:00:00 PM | 3:00:00 PM | 4:50:00 PM | 5:00:00 PM | 7:00:00 PM |
| 78 | 10:00:00 AM | 12:00:00 PM | 12:10:00 PM | 2:00:00 PM | 3:00:00 PM | 5:00:00 PM | 5:10:00 PM | 7:00:00 PM |
| 79 | 10:00:00 AM | 12:10:00 PM | 12:20:00 PM | 2:00:00 PM | 3:00:00 PM | 5:10:00 PM | 5:20:00 PM | 7:00:00 PM |
| 80 | 10:00:00 AM | 12:20:00 PM | 12:30:00 PM | 2:00:00 PM | 3:00:00 PM | 5:20:00 PM | 5:30:00 PM | 7:00:00 PM |
| 81 | 10:00:00 AM | 11:40:00 AM | 11:50:00 AM | 2:15:00 PM | 3:15:00 PM | 4:55:00 PM | 5:05:00 PM | 7:00:00 PM |
| 82 | 10:00:00 AM | 11:50:00 AM | 12:00:00 PM | 2:15:00 PM | 3:15:00 PM | 5:05:00 PM | 5:15:00 PM | 7:00:00 PM |
| 83 | 10:00:00 AM | 12:00:00 PM | 12:10:00 PM | 2:15:00 PM | 3:15:00 PM | 5:15:00 PM | 5:25:00 PM | 7:00:00 PM |
| 84 | 10:00:00 AM | 12:10:00 PM | 12:20:00 PM | 2:15:00 PM | 3:15:00 PM | 5:25:00 PM | 5:35:00 PM | 7:00:00 PM |
| 85 | 10:00:00 AM | 12:20:00 PM | 12:30:00 PM | 2:15:00 PM | 3:15:00 PM | 5:35:00 PM | 5:45:00 PM | 7:00:00 PM |
| 86 | 10:00:00 AM | 11:40:00 AM | 11:50:00 AM | 2:30:00 PM | 3:30:00 PM | 5:00:00 PM | 5:10:00 PM | 7:00:00 PM |
| 87 | 10:00:00 AM | 11:50:00 AM | 12:00:00 PM | 2:30:00 PM | 3:30:00 PM | 5:10:00 PM | 5:20:00 PM | 7:00:00 PM |
| 88 | 10:00:00 AM | 12:00:00 PM | 12:10:00 PM | 2:30:00 PM | 3:30:00 PM | 5:20:00 PM | 5:30:00 PM | 7:00:00 PM |
| ***89 | 10:00:00 AM | 12:10:00 PM | 12:20:00 PM | 2:30:00 PM | 3:30:00 PM | 5:30:00 PM | 5:40:00 PM | 7:00:00 PM |
| ***90 | 10:00:00 AM | 12:20:00 PM | 12:30:00 PM | 2:30:00 PM | 3:30:00 PM | 5:30:00 PM | 5:40:00 PM | 7:00:00 PM |
| ***91 | 6:00:00 AM | 7:40:00 AM | 7:50:00 AM | 10:00:00 AM | ||||
| 92 | 6:00:00 AM | 7:50:00 AM | 8:00:00 AM | 10:00:00 AM | ||||
| 93 | 6:00:00 AM | 8:00:00 AM | 8:10:00 AM | 10:00:00 AM | ||||
| 94 | 6:00:00 AM | 8:10:00 AM | 8:20:00 AM | 10:00:00 AM | ||||
| 95 | 6:00:00 AM | 8:20:00 AM | 8:30:00 AM | 10:00:00 AM | ||||
| 96 | 8:00:00 AM | 10:10:00 AM | 10:20:00 AM | 1:00:00 PM | ||||
| 97 | 8:00:00 AM | 10:20:00 AM | 10:30:00 AM | 1:00:00 PM | ||||
| 98 | 8:00:00 AM | 10:30:00 AM | 10:40:00 AM | 1:00:00 PM | ||||
| 99 | 8:00:00 AM | 10:40:00 AM | 10:50:00 AM | 1:00:00 PM | ||||
| 100 | 8:00:00 AM | 10:50:00 AM | 11:00:00 AM | 1:00:00 PM | ||||
| 101 | 9:00:00 AM | 11:10:00 AM | 11:20:00 AM | 2:00:00 PM | ||||
| 102 | 9:00:00 AM | 11:20:00 AM | 11:30:00 AM | 2:00:00 PM | ||||
| 103 | 9:00:00 AM | 11:30:00 AM | 11:40:00 AM | 2:00:00 PM | ||||
| 104 | 9:00:00 AM | 11:40:00 AM | 11:50:00 AM | 2:00:00 PM | ||||
| 105 | 9:00:00 AM | 11:50:00 AM | 12:00:00 PM | 2:00:00 PM | ||||
| 106 | 12:00:00 PM | 1:40:00 PM | 1:50:00 PM | 4:00:00 PM | ||||
| 107 | 12:00:00 PM | 1:50:00 PM | 2:00:00 PM | 4:00:00 PM | ||||
| 108 | 12:00:00 PM | 2:00:00 PM | 2:10:00 PM | 4:00:00 PM | ||||
| 109 | 12:00:00 PM | 2:10:00 PM | 2:20:00 PM | 4:00:00 PM | ||||
| 110 | 12:00:00 PM | 2:20:00 PM | 2:30:00 PM | 4:00:00 PM | ||||
| 111 | 12:00:00 PM | 2:10:00 PM | 2:20:00 PM | 5:00:00 PM | ||||
| 112 | 12:00:00 PM | 2:20:00 PM | 2:30:00 PM | 5:00:00 PM | ||||
| 113 | 12:00:00 PM | 2:30:00 PM | 2:40:00 PM | 5:00:00 PM | ||||
| 114 | 12:00:00 PM | 2:40:00 PM | 2:50:00 PM | 5:00:00 PM | ||||
| 115 | 12:00:00 PM | 2:50:00 PM | 3:00:00 PM | 5:00:00 PM | ||||
| 116 | 2:00:00 PM | 4:10:00 PM | 4:20:00 PM | 7:00:00 PM | ||||
| 117 | 2:00:00 PM | 4:20:00 PM | 4:30:00 PM | 7:00:00 PM | ||||
| 118 | 2:00:00 PM | 4:30:00 PM | 4:40:00 PM | 7:00:00 PM | ||||
| 119 | 2:00:00 PM | 4:40:00 PM | 4:50:00 PM | 7:00:00 PM | ||||
| 120 | 2:00:00 PM | 4:50:00 PM | 5:00:00 PM | 7:00:00 PM |
This is the code that I'm using, I know I'm missing something, I'm just not sure what. It's not lost on me that the solver scheduled 5 shifts and the max workforce needed in any timeframe is 5, but it's not enough to cover the workforce needs for the entire day.
# create shift matrix
df = num_workers_t_window.fillna(0).applymap(lambda x: 1 if x == "x" else x)
df = df.drop(columns = ["startTime"])
a = df.drop(columns =["T_Window","num_workers_required"]).values
number of shifts
n = a.shape[1]
number of time windows
T = a.shape[0]
of workers required per time window
d = df["num_workers_required"].values
labor hours per shift
w = shift_hours["Shift_Hours"].values.astype(int)
Decision Variables
y = LpVariable.dicts("num_workers", list(range(n)), lowBound=0, cat="Integer")
Create Problem
prob = LpProblem("Schedule_Creation", LpMinimize)
Minimize Labor Hours
prob += lpSum([w[j] * y[j] for j in range(n)])
Constraint for workers required in each time window
for t in range(T):
prob += lpSum([a[t, j] * y[j] for j in range (n)]) >= d[t]
prob.solve()
print("Status:", LpStatus[prob.status])
for shift in range(n):
print(
f"The number of workers needed for shift {shift} is {(y[shift].value())} workers"
)
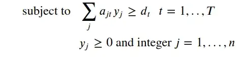
One of the constraints, per request in comments:
Adding the LP Model, source for this code is from this project: https://towardsdatascience.com/how-to-solve-a-staff-scheduling-problem-with-python-63ae50435ba4
Minimize function
Workforce requirement constraint
Adding a sample of data frame for shifts, workers required (last column), and associated time windows:
| T_Window | Shift_1 | Shift_2 | Shift_16 | Shift_17 | Shift_31 | num_workers_required |
|---|---|---|---|---|---|---|
| 5:00:00 AM | 1 | 1 | 0 | 0 | 0 | 1 |
| 5:10:00 AM | 1 | 1 | 0 | 0 | 0 | 1 |
| 5:20:00 AM | 1 | 1 | 0 | 0 | 0 | 1 |
| 5:30:00 AM | 1 | 1 | 0 | 0 | 0 | 1 |
| 5:40:00 AM | 1 | 1 | 0 | 0 | 0 | 1 |
| 5:50:00 AM | 1 | 1 | 0 | 0 | 0 | 1 |
| 6:00:00 AM | 1 | 1 | 1 | 1 | 0 | 2 |
| 6:10:00 AM | 1 | 1 | 1 | 1 | 0 | 2 |
| 6:20:00 AM | 1 | 1 | 1 | 1 | 0 | 2 |
| 6:30:00 AM | 1 | 1 | 1 | 1 | 0 | 2 |
| 6:40:00 AM | 0 | 1 | 1 | 1 | 0 | 2 |
| 6:50:00 AM | 1 | 0 | 1 | 1 | 0 | 2 |
| 7:00:00 AM | 1 | 1 | 1 | 1 | 1 | 3 |
| 7:10:00 AM | 1 | 1 | 1 | 1 | 1 | 3 |
| 7:20:00 AM | 1 | 1 | 1 | 1 | 1 | 3 |
| 7:30:00 AM | 1 | 1 | 1 | 1 | 1 | 3 |
| 7:40:00 AM | 1 | 1 | 0 | 1 | 1 | 3 |
| 7:50:00 AM | 1 | 1 | 1 | 0 | 1 | 3 |
| 8:00:00 AM | 1 | 1 | 1 | 1 | 1 | 4 |
| 8:10:00 AM | 1 | 1 | 1 | 1 | 1 | 4 |
| 8:20:00 AM | 1 | 1 | 1 | 1 | 1 | 4 |
| 8:30:00 AM | 1 | 1 | 1 | 1 | 1 | 4 |
| 8:40:00 AM | 1 | 1 | 1 | 1 | 0 | 4 |
| 8:50:00 AM | 1 | 1 | 1 | 1 | 1 | 4 |
| 9:00:00 AM | 0 | 0 | 1 | 1 | 1 | 4 |
| 9:10:00 AM | 0 | 0 | 1 | 1 | 1 | 4 |
| 9:20:00 AM | 0 | 0 | 1 | 1 | 1 | 4 |
| 9:30:00 AM | 0 | 0 | 1 | 1 | 1 | 4 |
| 9:40:00 AM | 0 | 0 | 1 | 1 | 1 | 4 |
| 9:50:00 AM | 0 | 0 | 1 | 1 | 1 | 4 |
| 10:00:00 AM | 1 | 1 | 0 | 0 | 1 | 4 |
| 10:10:00 AM | 1 | 1 | 0 | 0 | 1 | 4 |
| 10:20:00 AM | 1 | 1 | 0 | 0 | 1 | 4 |
| 10:30:00 AM | 1 | 1 | 0 | 0 | 1 | 4 |
| 10:40:00 AM | 1 | 1 | 0 | 0 | 1 | 4 |
| 10:50:00 AM | 1 | 1 | 0 | 0 | 1 | 4 |
| 11:00:00 AM | 1 | 1 | 1 | 1 | 0 | 4 |
| 11:10:00 AM | 1 | 1 | 1 | 1 | 0 | 4 |
| 11:20:00 AM | 1 | 1 | 1 | 1 | 0 | 4 |
| 11:30:00 AM | 1 | 1 | 1 | 1 | 0 | 4 |
| 11:40:00 AM | 0 | 1 | 1 | 1 | 0 | 4 |
| 11:50:00 AM | 1 | 0 | 1 | 1 | 0 | 4 |
| 12:00:00 PM | 1 | 1 | 1 | 1 | 1 | 4 |
| 12:10:00 PM | 1 | 1 | 1 | 1 | 1 | 4 |
| 12:20:00 PM | 1 | 1 | 1 | 1 | 1 | 4 |
| 12:30:00 PM | 1 | 1 | 1 | 1 | 1 | 4 |
| 12:40:00 PM | 1 | 1 | 0 | 1 | 1 | 4 |
| 12:50:00 PM | 1 | 1 | 1 | 0 | 1 | 4 |
| 1:00:00 PM | 1 | 1 | 1 | 1 | 1 | 5 |
| 1:10:00 PM | 1 | 1 | 1 | 1 | 1 | 5 |
| 1:20:00 PM | 1 | 1 | 1 | 1 | 1 | 5 |
| 1:30:00 PM | 1 | 1 | 1 | 1 | 1 | 5 |
| 1:40:00 PM | 1 | 1 | 1 | 1 | 0 | 5 |
| 1:50:00 PM | 1 | 1 | 1 | 1 | 1 | 5 |
| 2:00:00 PM | 1 | 1 | 1 | 1 | 1 | 4 |
| 2:10:00 PM | 0 | 0 | 1 | 1 | 1 | 4 |
| 2:20:00 PM | 0 | 0 | 1 | 1 | 1 | 4 |
| 2:30:00 PM | 0 | 0 | 1 | 1 | 1 | 4 |
| 2:40:00 PM | 0 | 0 | 1 | 1 | 1 | 4 |
| 2:50:00 PM | 0 | 0 | 1 | 1 | 1 | 4 |
| 3:00:00 PM | 0 | 0 | 1 | 1 | 1 | 4 |
| 3:10:00 PM | 0 | 0 | 0 | 0 | 1 | 4 |
| 3:20:00 PM | 0 | 0 | 0 | 0 | 1 | 4 |
| 3:30:00 PM | 0 | 0 | 0 | 0 | 1 | 4 |
| 3:40:00 PM | 0 | 0 | 0 | 0 | 1 | 4 |
| 3:50:00 PM | 0 | 0 | 0 | 0 | 1 | 4 |
| 4:00:00 PM | 0 | 0 | 0 | 0 | 1 | 3 |
| 4:10:00 PM | 0 | 0 | 0 | 0 | 0 | 3 |
| 4:20:00 PM | 0 | 0 | 0 | 0 | 0 | 3 |
| 4:30:00 PM | 0 | 0 | 0 | 0 | 0 | 3 |
| 4:40:00 PM | 0 | 0 | 0 | 0 | 0 | 3 |
| 4:50:00 PM | 0 | 0 | 0 | 0 | 0 | 3 |
| 5:00:00 PM | 0 | 0 | 0 | 0 | 0 | 2 |
| 5:10:00 PM | 0 | 0 | 0 | 0 | 0 | 2 |
| 5:20:00 PM | 0 | 0 | 0 | 0 | 0 | 2 |
| 5:30:00 PM | 0 | 0 | 0 | 0 | 0 | 2 |
| 5:40:00 PM | 0 | 0 | 0 | 0 | 0 | 2 |
| 5:50:00 PM | 0 | 0 | 0 | 0 | 0 | 2 |
| 6:00:00 PM | 0 | 0 | 0 | 0 | 0 | 1 |
| 6:10:00 PM | 0 | 0 | 0 | 0 | 0 | 1 |
| 6:20:00 PM | 0 | 0 | 0 | 0 | 0 | 1 |
| 6:30:00 PM | 0 | 0 | 0 | 0 | 0 | 1 |
| 6:40:00 PM | 0 | 0 | 0 | 0 | 0 | 1 |
| 6:50:00 PM | 0 | 0 | 0 | 0 | 0 | 1 |








