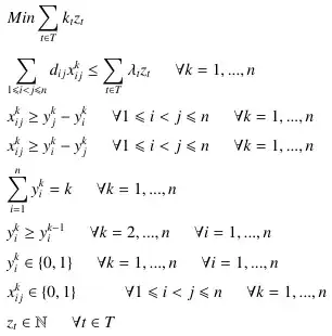
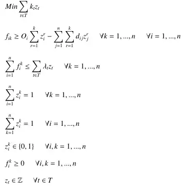
i have two models that address the same problem.
the first one is :

for different instances for the same size (n=30) i found the following results ( the first column on the left is for the first model , the second column is for the second model).

It seems illogical that a model with o(n3) variables and constraints consumes less time than a model with o(n2) variables and constraints. Could these results be explained ? or the use of multiple binary variables instead of of low variables could reduce time?
